Absolutbelopp
Hej! Har e uppgift som lyder enligt följande:
Jag gjorde enligt följande:
Svaret stämmer ej och undrar vad jag gör för fel.
Student02 skrev:Hej! Har e uppgift som lyder enligt följande:
Jag gjorde enligt följande:
Svaret stämmer ej och undrar vad jag gör för fel.
Vet du vad ett absolutbelopp är?
Yngve skrev:Student02 skrev:Hej! Har e uppgift som lyder enligt följande:
Jag gjorde enligt följande:
Svaret stämmer ej och undrar vad jag gör för fel.
Vet du vad ett absolutbelopp är?
Ja, dock har jag inte gjort uppgifter som är "svåra" med absolutbelopp. Jag vet definitionen:
Student02 skrev:
Ja, dock har jag inte gjort uppgifter som är "svåra" med absolutbelopp. Jag vet definitionen:
Ja, det stämmer, om du menar att
om
om
(Du får inte glömma tecknet "|" som indikerar absolutbelopp.)
--------'
Och det betyder i sin tur att
om
om
På samma sätt gäller att
om
om
Hänger du med så långt?
Yngve skrev:Student02 skrev:Ja, dock har jag inte gjort uppgifter som är "svåra" med absolutbelopp. Jag vet definitionen:Ja, det stämmer, om du menar att
om
om
(Du får inte glömma tecknet "|" som indikerar absolutbelopp.)
--------'
Och det betyder i sin tur att
om
om
På samma sätt gäller att
om
om
Hänger du med så långt?
Oj ja precis, glömde sätta dit tecknet. Ja jag är med så långt, ska man då kombinera dessa fyra ekvationer med varandra? I sådana fall, hur vet man vilket svar som är rätt? Får man testa sig fram eller?
Student02 skrev:
Oj ja precis, glömde sätta dit tecknet. Ja jag är med så långt, ska man då kombinera dessa fyra ekvationer med varandra? I sådana fall, hur vet man vilket svar som är rätt? Får man testa sig fram eller?
Bra observation att det blir olika ekvationer.
I själva verket blir det bara 3 olika ekvationer och du kan lösa de ekvationerna separat.
Beroende på vad x har för värde så ser ju uttrycken |x-1| och |x+3| olika ut.
Kan du beskriva de villkor på x som bestämmer hur dessa uttryck ser ut?
Ta ett uttryck i taget.
Yngve skrev:Student02 skrev:Oj ja precis, glömde sätta dit tecknet. Ja jag är med så långt, ska man då kombinera dessa fyra ekvationer med varandra? I sådana fall, hur vet man vilket svar som är rätt? Får man testa sig fram eller?Bra observation att det blir olika ekvationer.
I själva verket blir det bara 3 olika ekvationer och du kan lösa de ekvationerna separat.
Beroende på vad x har för värde så ser ju uttrycken |x-1| och |x+3| olika ut.
Kan du beskriva de villkor på x som bestämmer hur dessa uttryck ser ut?
Ta ett uttryck i taget.
Yngve skrev:
...
Kan du beskriva de villkor på x som bestämmer hur dessa uttryck ser ut?
...
Du går för snabbt fram. Innan vi kan börja lösa ekvationen så måste vi dela upp problemet i olika delar och beskriva villkoren på x för varje delproblem.
Börja med att svara på den här frågan. Med detta svar kan vi sedan dela upp problemet i 3 olika delar som vi löser var för sig.
- För vilka värden på x gäller att |x - 1| = (x - 1)?
- För vilka värden på x gäller att |x - 1| = -(x - 1)?
- För vilka värden på x gäller att |x + 3| = (x + 3)?
- För vilka värden på x gäller att |x + 3| = -(x + 3)?
Yngve skrev:Yngve skrev:
...
Kan du beskriva de villkor på x som bestämmer hur dessa uttryck ser ut?
...
Du går för snabbt fram. Innan vi kan börja lösa ekvationen så måste vi dela upp problemet i olika delar.
Börja med att svara på den här frågan. Med detta svar kan vi sedan dela upp problemet i 3 olika delar som vi löser var för sig.
- För vilka värden på x gäller att |x - 1| = (x - 1)?
- För vilka värden på x gäller att |x - 1| = -(x - 1)?
- För vilka värden på x gäller att |x + 3| = (x + 3)?
- För vilka värden på x gäller att |x + 3| = -(x + 3)?
- |x - 1| = (x - 1), , dvs x > 1
- |x - 1| = -(x - 1), x<0 , dvs
- |x + 3| = (x + 3), x≥0,
- |x + 3| = -(x + 3), x<0,
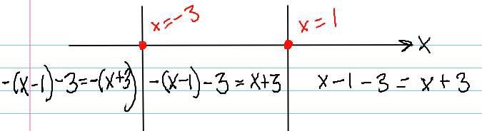
Jag skulle börja med att rita upp funktionern y=|x-1|och |y=|x+3|så att jag får rätt gränser. Det du har skrivit stämmer bara i ett fall av 4 (och även där står det något konstigt). Lägg in din bild här så att vi kan se den!
Problem av denna typ åskådliggörs med fördel av denna figur. Du får tre fall att arbeta med.

Student02 skrev:
|x - 1| = (x - 1), , dvs x > 1
|x - 1| = -(x - 1), x<0 , dvs
|x + 3| = (x + 3), x≥0,
|x + 3| = -(x + 3), x<0,
Det blev inte riktigt rätt, vi tar dem en i taget. Jag hjälper dig med den första.
då . Vi löser nu ut ur olikheten :
Addera 1 till båda sidor:
Förenkla:
Det betyder alltså att då
Det betyder även att då
Hängde du med på det?
---------------------
Kan du nu göra på samma sätt med det andra uttrycket, dvs ?
Yngve skrev:Student02 skrev:
|x - 1| = (x - 1), , dvs x > 1 |x - 1| = -(x - 1), x<0 , dvs |x + 3| = (x + 3), x≥0, |x + 3| = -(x + 3), x<0,Det blev inte riktigt rätt, vi tar dem en i taget. Jag hjälper dig med den första.
då . Vi löser nu ut ur olikheten :
Addera 1 till båda sidor:
Förenkla:
Det betyder alltså att då
Det betyder även att då
Hängde du med på det?
---------------------
Kan du nu göra på samma sätt med det andra uttrycket, dvs ?
|x+3||x+3| = (x+3) då .
x+3≥0
Subtraherat med 3:
x+3-3≥0-3
x≥-3
|x+3| = (x+3) då x ≥-3
|x+3| = -(x+3) då x < -3
Stämmer detta?
Student02 skrev:
|x+3||x+3| = (x+3) då .
x+3≥0
Subtraherat med 3:
x+3-3≥0-3
x≥-3
|x+3| = (x+3) då x ≥-3
|x+3| = -(x+3) då x < -3
Stämmer detta
Ja det stämmer. Bra. Nu är det nära.
Om vi nu sätter ihop allting så ser du att det finns en gräns då x = -3 och en annan gräns då x = 1.
------------------------
Vi tittar på det "vänstraste" intervallet först, dvs :
Där gäller att
Men vad gäller för i det intervallet?
Yngve skrev:Student02 skrev:|x+3||x+3| = (x+3) då .
x+3≥0
Subtraherat med 3:
x+3-3≥0-3
x≥-3
|x+3| = (x+3) då x ≥-3
|x+3| = -(x+3) då x < -3
Stämmer detta
Ja det stämmer. Bra. Nu är det nära.
Om vi nu sätter ihop allting så ser du att det finns en gräns då x = -3 och en annan gräns då x = 1.
------------------------
Vi tittar på det "vänstraste" intervallet först, dvs :
Där gäller att
Men vad gäller för i det intervallet?
I det intervallet gäller det väl att |x-1| = x-1
och då gäller väl att x≥1?
Student02 skrev:I det intervallet gäller det väl att |x-1| = x-1
och då gäller väl att x≥1?
Nej om x < -3 så kan x exempelvis vara -8, -100, -3,02 och så vidare, eller hur?
Och då gäller väl även att x < 1, eller hur?
Yngve skrev:Student02 skrev:I det intervallet gäller det väl att |x-1| = x-1
och då gäller väl att x≥1?
Nej om x < -3 så kan x exempelvis vara -8, -100, -3,02 och så vidare, eller hur?
Och då gäller väl även att x < 1, eller hur?
Jaha, ja!
Student02 skrev:Yngve skrev:Student02 skrev:I det intervallet gäller det väl att |x-1| = x-1
och då gäller väl att x≥1?
Nej om x < -3 så kan x exempelvis vara -8, -100, -3,02 och så vidare, eller hur?
Och då gäller väl även att x < 1, eller hur?
Jaha, ja!
Och då gäller även att , eller hur?
Yngve skrev:Student02 skrev:Yngve skrev:Student02 skrev:I det intervallet gäller det väl att |x-1| = x-1
och då gäller väl att x≥1?
Nej om x < -3 så kan x exempelvis vara -8, -100, -3,02 och så vidare, eller hur?
Och då gäller väl även att x < 1, eller hur?
Jaha, ja!
Och då gäller även att , eller hur?
Ja det gör det.
Student02 skrev:Ja det gör det.
Bra.
Då har vi alltså konstaterat att då x < 3 så gäller det att |x-1| = -(x-1) och även att |x+3| = -(x+3).
Det betyder att om x < 3 så kan vår ekvation skrivas -(x-1) - 3 = -(x+3).
Är du med på det?
Yngve skrev:Student02 skrev:Ja det gör det.
Bra.
Då har vi alltså konstaterat att då x < 3 så gäller det att |x-1| = -(x-1) och även att |x+3| = -(x+3).
Det betyder att om x < 3 så kan vår ekvation skrivas -(x-1) - 3 = -(x+3).
Är du med på det?
Ja det är jag. Hade missat att du svarade i tråden, därav sent svar!
Student02 skrev:
Ja det är jag. Hade missat att du svarade i tråden, därav sent svar!
OK då kan du lösa den ekvationen, men tänk då på att eventuella lösningar (dvs värden på x) måste återfinnas i det angivna intervallet, dvs x < 3, annars är de inte giltiga.
--------
Sen kan du gå vidare och analysera nästa intervall, dvs mellan gränserna x = -3 och x = 1.
Hur ser uttrycken ut då och hur ser ekvationen ut i detta intervall?
Lös även den ekvationen (med samma analys av lösningarna giltighet som ovan).
--------
Sista delen är att analysera intervaller x > 1 på samma sätt.
--------
Du har nu delat upp problemet i 3 olika delproblem, där varje problem innebär att lösa en enkel ekvation.
Det här är ett standardsätt att lösa enkla ekvationer där absolutbelopp är inblandade.
Yngve skrev:Student02 skrev:Ja det är jag. Hade missat att du svarade i tråden, därav sent svar!
OK då kan du lösa den ekvationen, men tänk då på att eventuella lösningar (dvs värden på x) måste återfinnas i det angivna intervallet, dvs x < 3, annars är de inte giltiga.
--------
Sen kan du gå vidare och analysera nästa intervall, dvs mellan gränserna x = -3 och x = 1.
Hur ser uttrycken ut då och hur ser ekvationen ut i detta intervall?
Lös även den ekvationen (med samma analys av lösningarna giltighet som ovan).
--------
Sista delen är att analysera intervaller x > 1 på samma sätt.
--------
Du har nu delat upp problemet i 3 olika delproblem, där varje problem innebär att lösa en enkel ekvation.
Det här är ett standardsätt att lösa enkla ekvationer där absolutbelopp är inblandade.
Student02 skrev:Yngve skrev:Student02 skrev:Ja det är jag. Hade missat att du svarade i tråden, därav sent svar!
OK då kan du lösa den ekvationen, men tänk då på att eventuella lösningar (dvs värden på x) måste återfinnas i det angivna intervallet, dvs x < 3, annars är de inte giltiga.
--------
Sen kan du gå vidare och analysera nästa intervall, dvs mellan gränserna x = -3 och x = 1.
Hur ser uttrycken ut då och hur ser ekvationen ut i detta intervall?
Lös även den ekvationen (med samma analys av lösningarna giltighet som ovan).
--------
Sista delen är att analysera intervaller x > 1 på samma sätt.
--------
Du har nu delat upp problemet i 3 olika delproblem, där varje problem innebär att lösa en enkel ekvation.
Det här är ett standardsätt att lösa enkla ekvationer där absolutbelopp är inblandade.
??? Ser inte att du har skrivit något nytt här?
@Yngve: Ser att Student02 hade råkat rapportera ditt senaste inlägg istället för att svara. Såhär stod det i rapporten:
Tack så hemskt mycket för all hjälp, ska sätta mig ner och göra om uppgiften helt och hållet. Återkommer ifall jag har några frågor!
Teraeagle skrev:@Yngve: Ser att Student02 hade råkat rapportera ditt senaste inlägg istället för att svara. Såhär stod det i rapporten:
Tack så hemskt mycket för all hjälp, ska sätta mig ner och göra om uppgiften helt och hållet. Återkommer ifall jag har några frågor!
OK då förstår jag.
Här skulle man också kunna reda ut problemet genom att rita ett par grafer:
Vi vet att grafen till y = |x| är ett V med spetsen i origo.
( y = x för x≥0 och y = -x för x<0 )
Grafen till y = |x+3| är då ett likadant V med spetsen i (-3; 0) och
grafen till y = |x-1|-3 ett likadant V med spetsen i (1; -3).
Rita båda graferna och bestäm skärningspunkten.