6 svar
152 visningar
Zeshen behöver inte mer hjälp
Zeshen 479
Postad: 22 maj 2020 09:27

Absolutbelopp




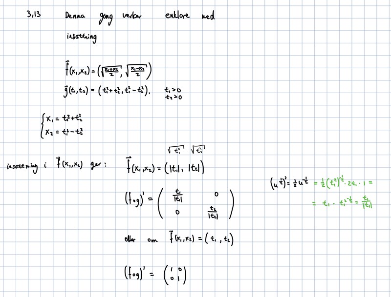
Ska vara (abs(t1), abs(t2)) eller bara (t1,t2)?

Qetsiyah 6618
Postad: 22 maj 2020 09:51

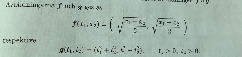
Vad är uppgiften? Bilden är skuren

Laguna 32247
Postad: 22 maj 2020 10:03

Eftersom t:na > 0 så behöver man inte skriva absolutbelopp här.

Zeshen 479
Postad: 22 maj 2020 18:10
Qetsiyah skrev:

Vad är uppgiften? Bilden är skuren

Ah, sorry! Man skulle räkna ut (f o g)’

Zeshen 479
Postad: 22 maj 2020 18:12
Laguna skrev:

Eftersom t:na > 0 så behöver man inte skriva absolutbelopp här.

Ja just det det är sant, tack! Men ifall det inte stod t1, t2 >0 så skulle man behövt uttrycka variablerna i absolutbelopp?

Qetsiyah 6618
Postad: 22 maj 2020 18:27

Mm ja

Zeshen 479
Postad: 22 maj 2020 19:37
Qetsiyah skrev:

Mm ja

okej, thanks

Svara
Close