2
svar
108
visningar
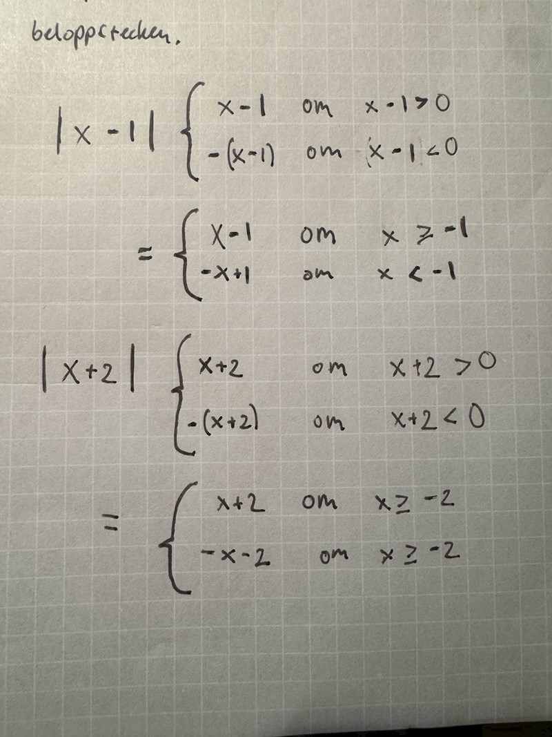
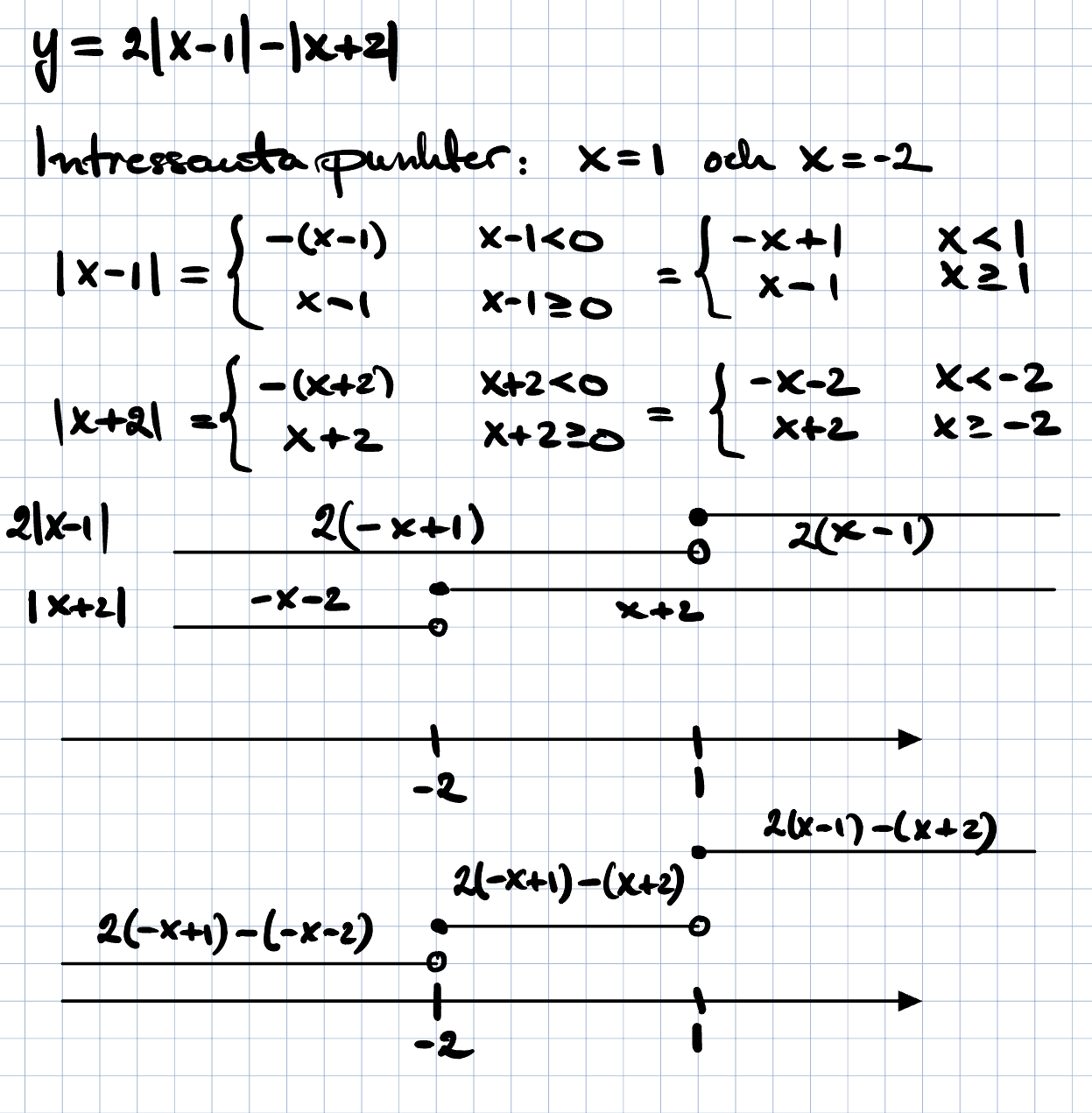
Absolutbelopp
Du har en funktion f, som beräknas enligt f(x) = 2 * lx - 1l - lx + 2l
Rita kurvan y = f(x) i ett graderat koordinatsystem för hand.
Hur ska jag fortsätta?

Tack!


