Absolutbelopp och argument för z, bråk
Hej! Jag vet ingen metod för att lösa såna här uppgifter, har ni tips?

Gör om de komplexa talen till polär form.
Smaragdalena skrev:Gör om de komplexa talen till polär form.
Tack, men förstår inte hur man gör det? Blir förvirrad när det är upphöjt till 6 och 9
Som sagt, börja göra om de komplexa talen till polär form.Vet du hur man gör det?
Därefter kan du använda de Moivres formel för att beräkna potenserna och räknereglerna för komplexa tal för att göra divisionen.
Hej, tack för hjälpen!
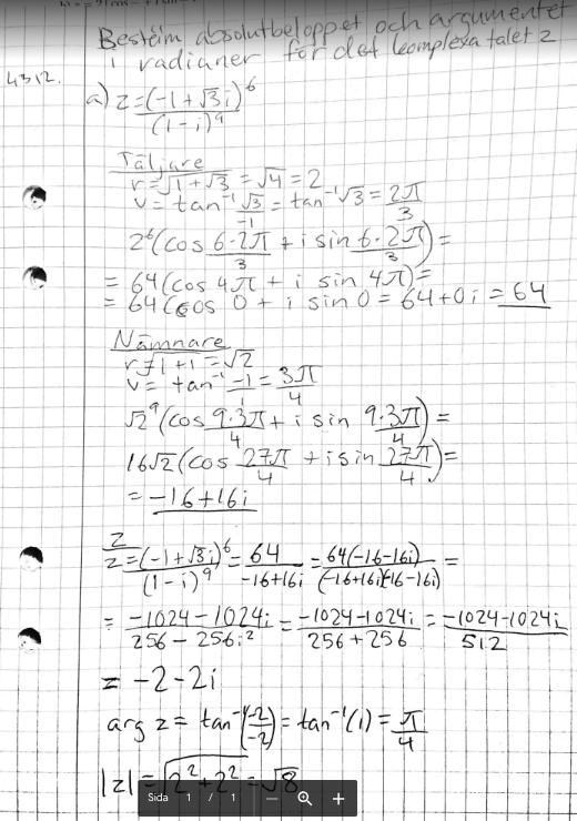
Fick klura länge men till sist löste jag den. Bara ett problem, har räknat den flera gånger och får varje gång z=-2-2i men facit säger z=2+2i. Vad går fel?
Du har fel argument.
Det räcker inte att tan(v) stämmer, för man kan ju hamna ett halvt varv fel. Man måste se till att hamna i rätt kvadrant.
Enligt facit ska argumentet vara pi/4
juliacoconut skrev:Enligt facit ska argumentet vara pi/4
Rita ut och i det komplexa talplanet. Vilka kvadranter ligger de i?
Kontrollera att argumenten du fått fram för dessa komplexa tal verkligen stämmer.
Det gäller ju att så arctan ger inte ett entydigt resultat. Du måste kontrollera villken vinkel det verkligen gäller
Tack så mycket för hjälpen, nu fattar jag. Vinkeln var 7pi/4, inte 3pi/4. Det verkar vara en bra idé att kolla perioden i tid :)
juliacoconut skrev:Tack så mycket för hjälpen, nu fattar jag. Vinkeln var 7pi/4, inte 3pi/4. Det verkar vara en bra idé att kolla perioden i tid :)
Att rita är alltid en bra idé.
Och välkommen till Pluggakuten!
Tack så mycket! :)