2
svar
109
visningar
filippahog behöver inte mer hjälp
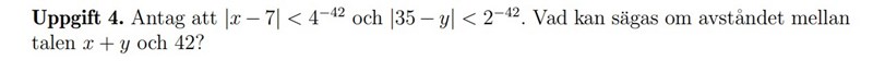
Absolutbeloppsolikhet

Jag har börjat så här:
Stämmer det här? Har nån ett tips hur man ska fortsätta?
Du tänker rätt men du skriver lite fel i början.
Det gulmarkerade är lika med |x+28-y|, vilket inte är lika med |x+y-42|.

Skriv istället
Försök sedan att förenkla högerledet.
Tips:
Yngve skrev:Du tänker rätt men du skriver lite fel i början.
Det gulmarkerade är lika med |x+28-y|, vilket inte är lika med |x+y-42|.
Skriv istället
Försök sedan att förenkla högerledet.
Tips:
Tack. Jag fortsatte med att skriva:
Kan man skriva så här? Vad är det riktigt vi vill uppnå?