Absorbance
Hej!
Frågan: Calculate the molar absorption coefficient of (FeSCN)2+ complex at 447 nm if the solution with the concentration of 16,0 microgram/mL absorbs 82% of the incident light intensity. The light path length is 1 cm.
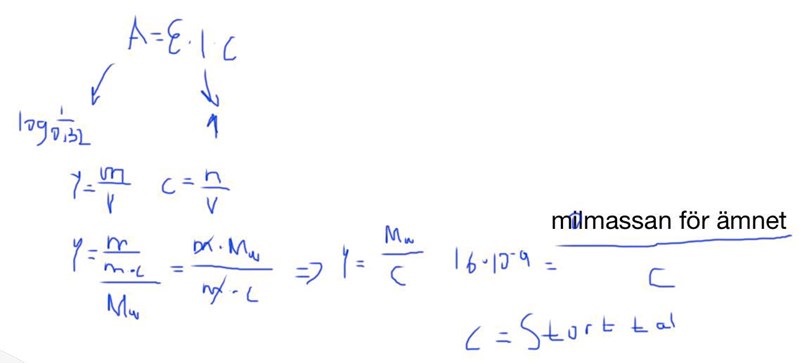
Hur löser man denna uppgift? Jag har försökt genom att använda formlerna för mass concentration och koncentration, och försökt lösa ut c, men det blir inte något av det. Jag har en bild på hur jag försökte lösa uppgiften.
Svaret är: 5303 dm^3mol^-1cm^-1
Tack så mycket!
Du skulle kunna strukturera dina uträkningar lite bättre!
Lambert-Beers lag säger att där absorbansen .
Koncentrationen c=n/v där substansmängden n = m/M.
Molmassan för komplexet är inte svårt att beräkna.
Sedan är det bara att sätta in siffrorna, skulle jag tro.