AC circuits
Hej,
Jag har svårt att påbörja en lösning till denna uppgift. Jag vet att

Det är bara att använda Ohms lag
Jag tänker såhär:
Dock får jag fram fel svar i slutändan.
Jag har räknat ut den totala resistansen i kretsen.
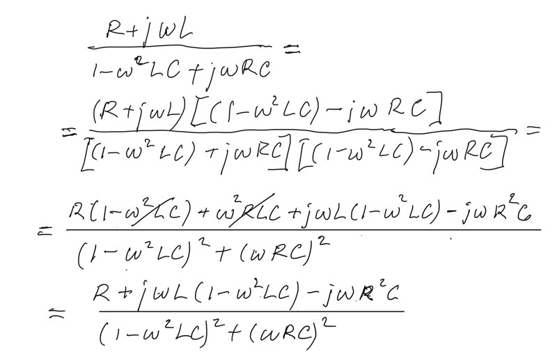
Dock förstår jag inte hur jag ska bli av med j. Har testat men kommer inte fram till något svar.
Leona11 skrev:
Dock förstår jag inte hur jag ska bli av med j.
Det blir lite komplexa tal, men uppgiften frågar efter amplituden av så det är bara att räkna absolutvärde.
Jag skulle börja med att räkna ut impedanserna för Och rita visardiagram.
Som synes har man valt rätt ”snälla” komponentvärden för att få behändiga komplexa tal.

Jan Ragnar skrev:Som synes har man valt rätt ”snälla” komponentvärden för att få behändiga komplexa tal.
Jag förstår inte hur du ändrar det första bråket för att få det andra:

Stort tack!
Jan Ragnar skrev:Som synes har man valt rätt ”snälla” komponentvärden för att få behändiga komplexa tal.
Dock så innebär detta att svaret blir 4, vilket är fel när quizzet rättas.
Leona11 skrev:Dock så innebär detta att svaret blir 4, vilket är fel när quizzet rättas.
Enheter: men det är spänningen som efterfrågas.
ja just det tack!
