Acceleration för en skidåkare (origo 3c 5328)
Hej,
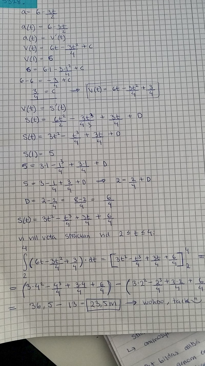
Håller på med fråga 5328 och fick fram svaret s = 25 m, men på facit står det s = 23,5 m. Vart har jag gjort fel? Bifogar både bilden på frågan och min lösning nedan.
Tack på förhand!
*skrev inte integralen för den är ju hastigheten
Det ser ut som du använt grafen som hastigheten men den ska ju visa accelerationen.
a(t) = 6-3t/2
Ja, juste jag utgick inte från att grafen börjar från a(0)=6. Insåg även att jag använde mig av variabeln C två gånger.
Då får jag:
Jag får ändå fel svar...?
Det är bra att träna på att hitta fel i sina egna lösningar
Gå igenom din uträkning rad för rad.
Säg till om du inte hittar felet.
Jag löste frågan igen men det blir fel igen...(facit säger att det är 23,5 m, jag får 32,5 m, har även provat att integrera min funktion för hastigheten i Geogebra och svaret blir 32,5 m där också).

Det här stämmer inte.

Tips: Ta inte så stora räknesteg I taget, skriv ner alla mellanliggande steg. Exempel:
6 = 6*1 - 3*12/4 + C
Förenkla:
6 = 6 - 3/4 + C
Subtrahera 6 från båda sidor:
6-6 = 6 - 3/4 + C - 6
Förenkla:
0 = -3/4 + C
Addera 3/4 till båda sidor:
0+3/4 = -3/4 + C + 3/4
Förenkla:
3/4 = C
Du har helt rätt Yngve, jag borde skrivit ned alla mina steg. Fick rätt svar, tack för hjälpen och för påminnelsen :)