Acceleration från rörelsefriktionstalet, massan och kraften
Vilken acceleration har en kropp med massan 32 kg, då den utsätts för dragkraften 93 N? Rörelsefriktionstalet är 0,12.
Facit: 1,7 m/s^2
Här är en uppgift som jag har lite svårt med.
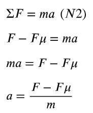
Jag utgår från danna formel:


Men när jag sätter in värdena i formeln blir svaret fel.
Varför är ?
Ebola skrev:Varför är ?
Det är väl rörelsefriktionstalet?
Ett rörelsefriktionstal är ingen kraft. Vad har friktionskraften för värde?
Ebola skrev:Ett rörelsefriktionstal är ingen kraft. Vad har friktionskraften för värde?
Vet inte?
Du har en formelsamling eller en bok. I någon av dem presenteras följande relation:
Ebola skrev:Du har en formelsamling eller en bok. I någon av dem presenteras följande relation:
Är
N=kroppens tyngd?
Om du tittar på din egen figur ser du att är normalkraften. Denna brukar på din nivå kallas en reaktion på tyngden enligt Newtons tredje lag och är lika stor som tyngden.
Tack för hjälpen!