Accelerationen
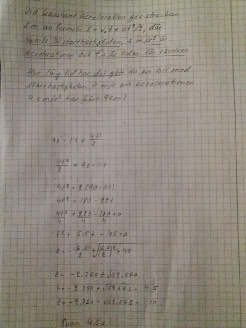
Är detta riktigt uppställd ?
Päivi skrev :Är detta riktigt uppställd ?
Ja det är rätt.
Jag ville veta det, om det var rätt uppställd. Jag ska räkna det här. Har inte kommit något vart med uppgiften ännu. Ställde bara en fråga än så länge.
Päivi skrev :Jag ville veta det, om det var rätt uppställd. Jag ska räkna det här. Har inte kommit något vart med uppgiften ännu. Ställde bara en fråga än så länge.
OK. Räkna på och fråga här igen om du behöver hjälp.
Ja, det ska jag göra.
Fruktansvärd med telefonen. Jag försökte skriva på finska här nyss. Jag upptäckte fruktansvärd mycket fel. Det är hopplöst det här. Jag får inte så som jag vill. Det är bedrövligt värre det här.
Päivi skrev :
Bra Päivi. Det stämmer.
Jag antar att du har kontrollerat din lösning?
Nej, den här gången gjorde jag inte det, men jag tyckte att jag hade räknat så rätt.
Päivi skrev :Nej, den här gången gjorde jag inte det, men jag tyckte att jag hade räknat så rätt.
Gör alltid det om du har möjlighet Päivi.
Tankefel, skrivfel, räknefel. De dyker upp överallt (men inte i din uträkning denna gång).
Är det riktigt långa räkningar, då brukar jag missa här och där. Sedan kan jag vara också väldigt trött. Jag menar trött på det viset att man är sömnig. När jag är sömnig, då orkar jag inte ens tänka mer. Det kan vara lätt uppgift, men är jag sömnig tänker jag inte alls klart. Börjar jag känna mig sömnig, då lägger jag mig sova ett tag. Jag fungerar när jag pigg. Då upptäcker jag en hel del. Jag måste bara pigg tillstånd, om något ska fungera. Är jag osäker på uppgiften. Då gör jag automatiskt fel. Jag måste kunna räkningen själv om jag ska upptäcka felet själv.
