Accelerationen
En låda med vikten 600N står på ett horisontellt golv.
(1) Vi börjar flytta på lådan med en horisontell kraft F = 200N. Anta att friktionstalet är 0,5 <μ <1 Vad är friktionskraften nu? Och hur stor är accelerationen. Rita figur med krafter.
(2) Sedan trycker vi med en horisontell kraft F = 601N och friktionstalet vid glidning är μ = 0, 85. Hur stor är friktionskraften? Och vad är accelerationen?
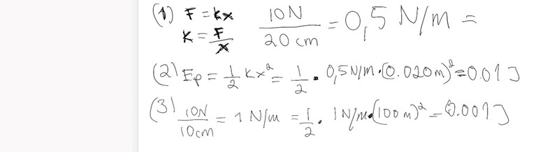
En elastisk buffertfjäder behöver en kraft på 10N för att komprimera den 20 cm
(1) Vad är fjäderstyvheten?
(2) Vad är den potentiella energin för stranden i detta tillstånd?
(3) Vad är strandens potentiella energi om avkortningen nu är 10 cm?
Gör en tråd för varje fråga, och visa hur du har försökt. Låt den första frågan vara kvar här. Har du ritat? I så fall, lägg upp bilden här! Om inte, rita och lägg upp bilden här.
Lägg varje fråga i en egen tråd, så blir det mindre rörigt! Låt den första frågan vara kvar i denna tråd, men gör en ny tråd för den andra frågan. /moderator
nu har jag löst frågan om buf'fertfjädern
skulle du vilja se igen och säga om jag gjort något fel? I
10 newton per 20 cm är inte 0,5 newton per meter.
Jag utgick ifrån ett exempel från boken.
Hur räknar jag ut det då.?
