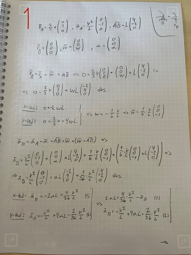
Accelerationssamband
Får inte fram rätt svar och kan inte lista ut vad det är jag gör fel. Har även testat med vB=(0 ; 1 ; 0) i fall att om stödets "motkraft", dvs i positiv y-riktning, skulle spela någon roll men jag får ändå fel. Min lösning finns nedan. Vet någon hur man ska göra? Eller i alla fall leda mig i rätt riktning. Det korrekta svaret finns även på sista sidan.



Det verkar ha blivit teckenfel här

D4NIEL skrev:Det verkar ha blivit teckenfel här
Du har rätt, matrisen ska vara (2 ; -4 ; 0). Tack för hjälpen! Detta ger mig dock ett svar på -7/6 vilket tyvärr fortfarande är fel. Jag misstänker att det är något ytterligare fel längre upp i lösningen som påverkar svaret. Eftersom svaret är positivt så var min första tanke att jag inte ska sätta beloppet av accelerationen negativt vid stöd A då detta påverkar svaret mycket. Jag har även idag testat med vB=(1 ; 0 ; 0) men får fel även då. Enligt min åsikt så kan inte någon kombination av lösning bli det korrekta svaret, jag måste alltså ha missat något väldigt betydelsefullt.
Nu är jag inte riktigt med, du har tänkt rätt från början förutom något slarvfel med tecknet, och det är ju synd när du nästan kommit hela vägen fram. Du har (nästan) fått

Eftersom vi varken har rörelse, hastighet eller acceleration i y-led alltså
D4NIEL skrev:Nu är jag inte riktigt med, du har tänkt rätt från början förutom något slarvfel med tecknet, och det är ju synd när du nästan kommit hela vägen fram. Du har (nästan) fått
Eftersom vi varken har rörelse, hastighet eller acceleration i y-led alltså
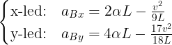
Glöm det jag skrev! Var lite snabb när jag räknade förut. Tack så mycket för hjälpen! Det uppskattas.
En till fråga, hur skulle lösningen ändras om jag exempelvis skulle beräkna aG istället? Alltså accelerationsvektorn för punkten G. Jag gissar på att AB vektorn (som det är i detta fall) ändras till något med G?
D4NIEL skrev:Nu är jag inte riktigt med, du har tänkt rätt från början förutom något slarvfel med tecknet, och det är ju synd när du nästan kommit hela vägen fram. Du har (nästan) fått
Eftersom vi varken har rörelse, hastighet eller acceleration i y-led alltså
Nu när jag kollar tillbaka såg jag förresten att minustecknet framför 2(alpha)L var borta. Jag förstod inte riktigt vad som hände där.