Aceton i vatten, varför inte vätebindning?
Hej!
I min lärobok frågar de om aceton är lösligt i vatten. Jag har svarat ja, eftersom att det elektronegativa syret i ketonen och dess elektroner gör molekylen till en dipol, därmed vattenlöslig (lika löser lika). Dock förstår jag inte varför det bildas dipol-dipolbindningar mellan vattnet och acetonen och inte vätebindningar mellan acetonens syre och vattnets väte?
Vätebindning är ju bara en starkare dipolbindning, och jag skulle gissa att eftersom syret sitter i kol som är mer elektronegativt än väte så blir inte skillnaden mellan atomerna i acetonet tillräckligt stor för att syret ska bli så negativt som behövs.
Tack så mycket för ditt svar, nu förstår jag hur det hänger ihop!
Att aceton inte kan delta i vätebindningar är en förenkling.
Aceton kan teoretiskt ge upphov till vätebindningar. I grundformen kan keto-gruppens syreatom dela med sig av en av sina två fria elektronpar, och då interagera med en proton från t.ex. vatten. Keto-gruppens syre är delta negativt men mindre negativt än syreatomerna i vatten - och det är syreatomerna i vatten, som acetonets syre konkurrerar med för att skapa "sin" vätebindning. Det är med andra lättare för vatten att vätebinda med vatten, än för vattnet att vätebinda med aceton - acetonen är dessutom ganska nöjd utan vätebindningar.
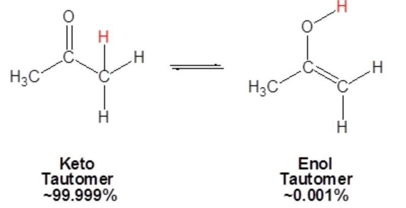
Sedan sker keto-enol tautomerisering (tror inte detta ingår i Ke2, utan mer universitetsnivå, men jag provar med en beskrivning). Under keto-enol tautomerisering kan ketogruppen (C=O till vänster i bilden nedan) omvandlas till en enol (till höger, genom att en proton "byter plats"). Men syret drar till sig elektronerna starkare, än något av kolen. Det gör att keto-formen dominerar och, som Micimacko var inne på, att bubbelbindningen i keto-gruppen inte blir fullt så polariserad mot syret - så även om det finns två fria elektronpar att vätebinda med är acetonen kemiskt sätt inte så sugen på detta. Men det går ju så klar teoretiskt.

mag1 skrev:Att aceton inte kan delta i vätebindningar är en förenkling.
Aceton kan teoretiskt ge upphov till vätebindningar. I grundformen kan keto-gruppens syreatom dela med sig av en av sina två fria elektronpar, och då interagera med en proton från t.ex. vatten. Keto-gruppens syre är delta negativt men mindre negativt än syreatomerna i vatten - och det är syreatomerna i vatten, som acetonets syre konkurrerar med för att skapa "sin" vätebindning. Det är med andra lättare för vatten att vätebinda med vatten, än för vattnet att vätebinda med aceton - acetonen är dessutom ganska nöjd utan vätebindningar.
Sedan sker keto-enol tautomerisering (tror inte detta ingår i Ke2, utan mer universitetsnivå, men jag provar med en beskrivning). Under keto-enol tautomerisering kan ketogruppen (C=O till vänster i bilden nedan) omvandlas till en enol (till höger, genom att en proton "byter plats"). Men syret drar till sig elektronerna starkare, än något av kolen. Det gör att keto-formen dominerar och, som Micimacko var inne på, att bubbelbindningen i keto-gruppen inte blir fullt så polariserad mot syret - så även om det finns två fria elektronpar att vätebinda med är acetonen kemiskt sätt inte så sugen på detta. Men det går ju så klar teoretiskt.
Skulle man alltså kunna kalla ketoner för aningen resonansstabiliserade dessutom? Tänker då på dubbelbindningen som förflyttar sig vid keto-enol tautomerisering så klart... Jag tackar för ditt mycket behjälpliga svar!
Nej keto- och enol-formen inte resonansformer, keto/enol-formerna förekommer var och en för sig och ofta är en av formerna dominant (som i aceton).
Resonansformer beskriver hur bindningar kan anses befinna sig i en av två former, som i t.ex. ozon, men att bindningarna omlagras så snabbt mellan resonansformerna att verkligheten ligger någon stans emellan.
