3
svar
108
visningar
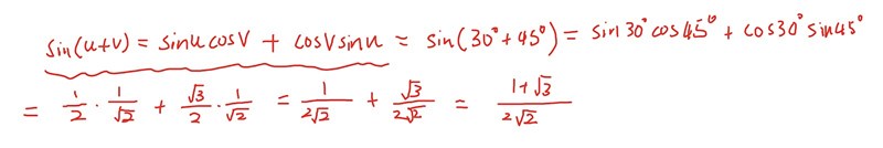
Prova att förlänga nämnaren med . Det är vanligt att försöka undvika rotuttryck i nämnare. :)
Helt rätt!

