3 svar
20 visningar
NOproblem Online 21
Postad: Idag 13:18

Adenosinmonofosfat

Jag har kört fast... 

Jag förstår inte bindingen som uppkommer mellan en fosfatgrupp och nukleosiden adenosin. 

Varför är där en OH-grupp i fosfatgruppen? Har det något med fosforsyra att göra? 

Och i mina anteckningar är det (enligt mig) ännu mer förvirrande, för det ser så här ut när adenosinmonofosfat bildats: 
Jaha, nu sitter det en annan OH-grupp på fosfatgruppen? 

Och sen när det blir adenosintrifosfat - då är det inget väte alls på fosforgruppen...



Förvirrande! Hoppas på hjälp för min hjärna får bryt snart...


mag1 10156
Postad: Idag 13:41
NOproblem skrev:

Jag har kört fast... 

Jag förstår inte bindingen som uppkommer mellan en fosfatgrupp och nukleosiden adenosin. 

Varför är där en OH-grupp i fosfatgruppen? Har det något med fosforsyra att göra? 



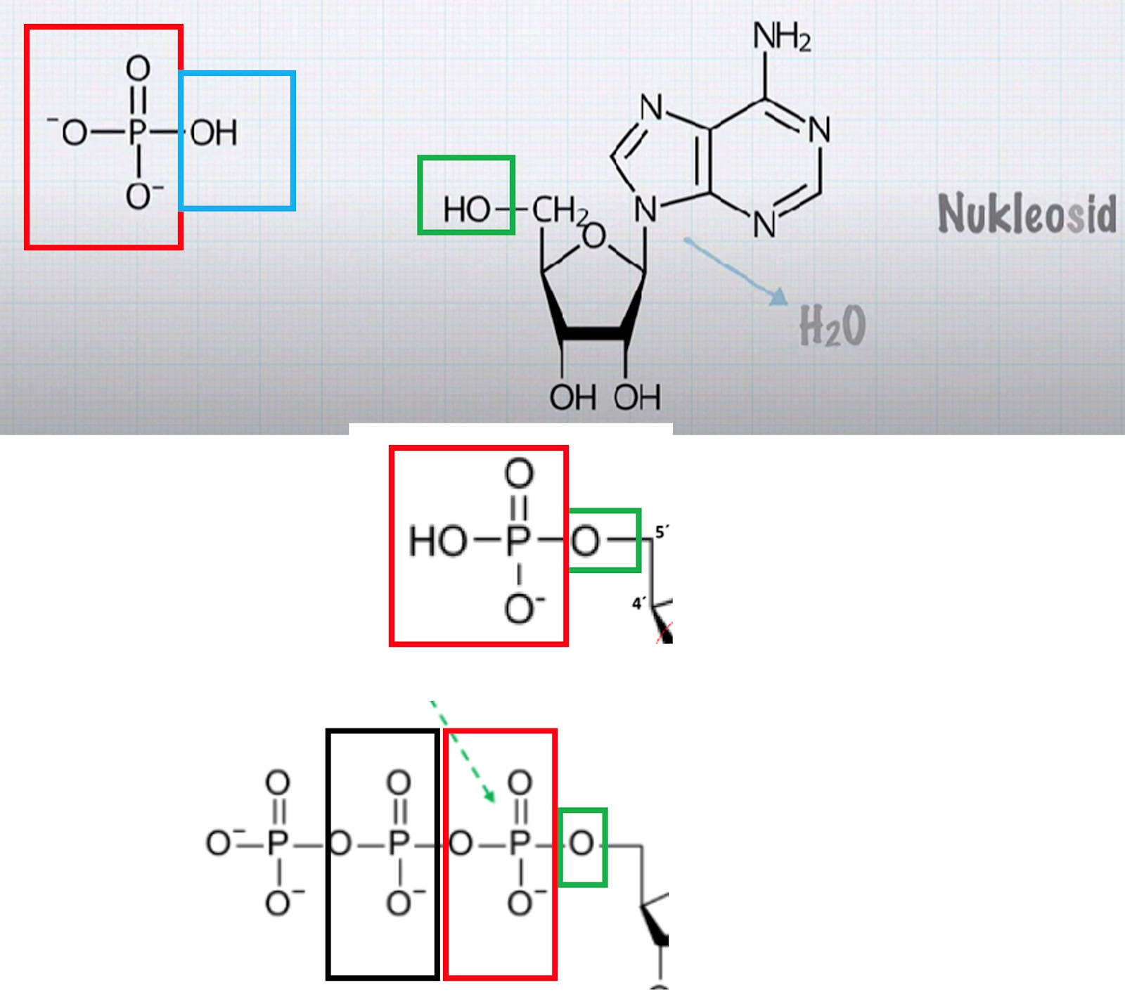
Ja precis, i bilden har du en jon som bilas när fosforsyra protolyseras (vätefosfat). I en fosfatgrupp är en ett av syrena bundet till en annan grupp/atom. 



Och i mina anteckningar är det (enligt mig) ännu mer förvirrande, för det ser så här ut när adenosinmonofosfat bildats: 
Jaha, nu sitter det en annan OH-grupp på fosfatgruppen? 

Fast denna skillnad i hydroxigrupper beror inte på fosfaten - den beror istället på att det är ribos i den övre bilden och deoxyribos här (där du ringat in positionen för den saknade hydroxigruppen, den skillnaden som gör detta till deoxribos). Denna skillnad känner du nog igen från jämförelser mellan DNA och RNA. 

 



Och sen när det blir adenosintrifosfat - då är det inget väte alls på fosforgruppen...



Förvirrande! Hoppas på hjälp för min hjärna får bryt snart...


När bindningen mellan hydroxigruppen och fosfat-atomen skapas, bryts samtidigt en annan bindning 

mellan fosfatatomen och ett annat syre - så i princip byts en hydroxigrupp bunden till fosfor ut mot nuklosiden.

NOproblem Online 21
Postad: Idag 13:47

 

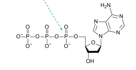
Jag menade vätet som sitter på fosfatgruppen (längst ut till vänster) - och inte det inringade, för det har jag flrstått är viktigt för att det ska binda till nästa nukletid. 
Jag var mest förvirrad varför det ser ut så här:

 

för i ATP är det så här: 

Tack för att du gjorde mig uppmärksam på att det var ribos och deoxiribos  - det förändrar inte min fråga, men jag hade faktiskt inte noterat det. 

mag1 10156
Postad: Idag 17:31 Redigerad: Idag 17:41

Jag misstänker att ni inte gått igenom hur mono-, di- och trifosfatnukleotider bildas, men du var vaken nog att identifiera att det inte riktigt stämmer med att bara "koppla ihop" fosforsyrajonen med ribos - antalet väte och syre stämmer inte. 

Det som sker när bindningen mellan ribosens 5´-ände och fosforatomen bilds, är att en fosfoester bildas. Det sker liknande hur en esterbindning sker, ni kanske har gått igenom det?

I korthet sker följande: 

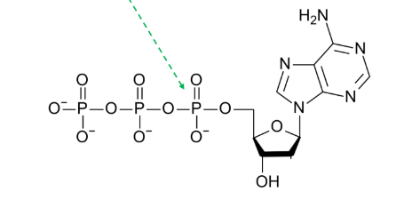
I ribos finns det en hydroxigrupp (grön i bilden), och den kan med hjälp av ett enzym fås att börja bilda en bindning till fosforatomen i en fosfatgrupp (en fosfor och fyra syreatomer samt väten, alltså både det röda och blå i bilden).

Men, fosforatomen binder inte till fem andra syreatomer (ribosens hydroxigrupp + 4 som redan sitter på fosfor) - så därför kommer ett av syrena från fosfatgruppen att sparkas ut, och lämna i form av en vattenmolekyl (blå i bilden). Och istället för detta "blå" syre sitter syret från ribosens hydroxigrupp där (röd+grön), Men kommer ribosens syre inte att vilja ha tre bindningar (till kolet i ribos, fosfor och vätet) så vätet kommer att protolyseras bort (precis som när H3O+ protolyseras till H2O och H+, liknande det som sker under vattnets autoprotolys).

 

Och sedan sker samma reaktion när nästa fosfatgrupp adderas (den svarta), och vid detta steg bildas också en vattenmolekyl - det frigörs en vattenmolekyl vid varje reaktion.

 

Och när bindningen sedan skall brytas sker det på precis det omvända viset - en vattenmolekyl adderas och fosfatgruppen återbildas. 

Svara
Close