Aldos i ribos
Hej!
Jag vet att ribos är en aldopentos, men jag hittar inte var aldehydgruppen sitter i ribos cykliska form. Finns förresten ribos i linjär form också? Kan det i så fall vara att en av dubbelbindningarna övergått till att binda 5' till 1' när ribos går från linjär till cyklisk?
Du har markerat att du är nöjd med hjälpen, så kanske klurade du ut svaret själv.
När aldoser som ribos bildar den ringslutna formen, skapas en ny bindning till kolatomen i aldehydgruppen, men inte med någon av dubbelbindningarna. Istället omlagras ett elektronpar från dubbelbindningen till syreatomen, som då kan ha tre fria elektronpar. Och av ett av dessa elektronpar bildas en kovalent bindning till en proton, och en hydroxigrupp fås istället.
Tack för förklaringen! Insåg att jag hade missat en del i boken.
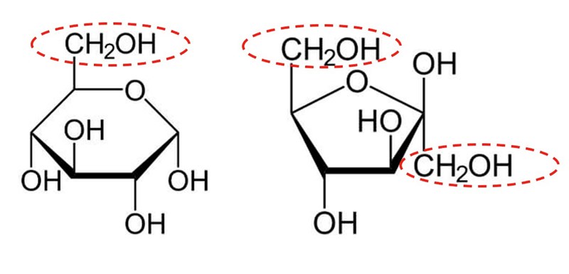
Jag kom förresten på en följdfråga: Kan man i den cykliska strukturformen av en monosackarid se om det är en aldos eller ketos, eller får man bara memorera det?
Om det är en ketos eller aldos kan du se direkt i den cykliska strukturen.
Ketoser har två större grupper, -CH2-OH (motsvarande metanol minus ett väte) som sticker ut från ringen. Aldoser har endast en av dessa grupper. Så om du tittar på antalet av dessa grupper sker du skillnad.

Okej, tack!