alfa-glukos eller beta-glukos?
Hej!

Jag undrar hur jag bör tänka kring ovanstående uppgift?
Har läst på en sida att skillnaden mellan alfa- och beta-glukos har att göra med var OH-gruppen på molekylen sitter (och att skillnaden på placering är mycket liten)?
Tack på förhand!
Hej!
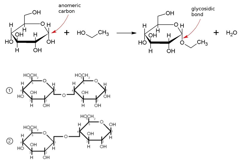
Börja med att titta på hur bindningen mellan de två glukosmolekylerna ser ut. Glukosen på vänster sida (GV) binder till den andra med sitt anomeriska kol (det som anger om kolhydraten är alfa eller beta, överst i bilden nedan). Det är även kol1 när man räknar kolhydrater i ringform (av sex kol). GV binder till glukosen på höger sidas kol4, men det påverkar inte om bindningen räknas som alfa eller beta - utan det gör endast i vilken konfiguration (alfa/beta) som det anomeriska kolet i glykosidbindningen är i (d.v.s. kol1 i GH).
I bilden längst ner ses skillnaden tydligt i när glykosidbindningen (bindningen mellan två kolhydrater) är i alfa (1) för maltosen, respektive beta (2) konfigurationen för cellbioset.

Och konfigurationen hos de enskilda glukosmolekylerna som bildade disackariden finns ju kvar i glykosidbindningen - så då borde du kunna lista ut vilken form alfa/beta som bildade din disackarid.
Återkom om du fastnar eller vill fråga vidare!
Redigerade: Blandade visst ihop sidorna när jag skrev texten, uppdaterade detta nu sorry.
Perfekt! Tack :)