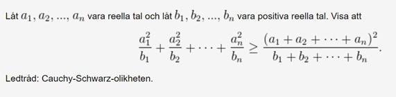
Algebra
Hej, jag har försökt lösa följande uppgift men det var ett tag sen jag jobbade med olikheter och denna var lite mer komplicerad så jag förstår inte riktigt hur jag ska göra. Jag förstår inte Cauchy-Schwarz olikheten så är inte helt med på hur jag ska använda det här. Kan någon snälla hjälpa mig tack :)

Svårt att hjälpa utan att ge hela lösningen.
Men du får helt enkelt ställa upp Cauchy-Schwarz och välja serierna x_i och y_i så att du får en olikhet ekvivalent med den du ska visa.
Smutsmunnen skrev:Svårt att hjälpa utan att ge hela lösningen.
Men du får helt enkelt ställa upp Cauchy-Schwarz och välja serierna x_i och y_i så att du får en olikhet ekvivalent med den du ska visa.
Kan du snälla förklara lite om Cauchy-Schwarz jag hänger inte med på den delen
Ni har rimligen gått igenom den.
Kan du formulera Cuachy-Schwarz så som den står i din bok/kompendium/häfte?
Och sedan säga vad det är du inte hänger med på?
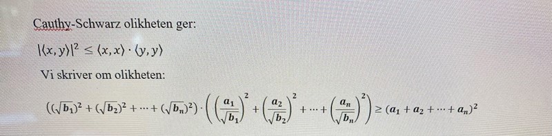
Det kanske blir lite lättare att känna igen Cauchy-Schwarz om du skriver om olikheten som
.
Smutsmunnen skrev:Ni har rimligen gått igenom den.
Kan du formulera Cuachy-Schwarz så som den står i din bok/kompendium/häfte?
Och sedan säga vad det är du inte hänger med på?
så har jag ställt upp det, jag är dock osäker hur jag ska göra för att sätta olikheten på cauthy-Schwarz form. Jag får a och b på olika sidor av olikheten och a,b på VL. Jag förstår cauthy Schwarz som att uttrycket där b är själv och a är själv ska vara i HL och sedan uttrycket där båda ingår ska vara i VL. Men jag får inte till det på den formen. Tänker jag fel?
PATENTERAMERA skrev:Det kanske blir lite lättare att känna igen Cauchy-Schwarz om du skriver om olikheten som
.
Jag har skrivit om olikheten och förenklat lite men fastnar efter det på hur man förenklar vidare. Hänvisa gärna till bilden på lösningen jag lagt in i tråden. Tack så mycket för hjälpen!
Sätt x = (, , …, ) och y = (, , …, ). Sätt in i Cauchy-Schwarz.