10 svar
190 visningar
Ha en fin dag behöver inte mer hjälp
Ha en fin dag 3149
Postad: 22 aug 2023 14:55

Algebra

Hur blir (-1)(-1) = (-1)?

naturnatur1 3229
Postad: 22 aug 2023 15:05

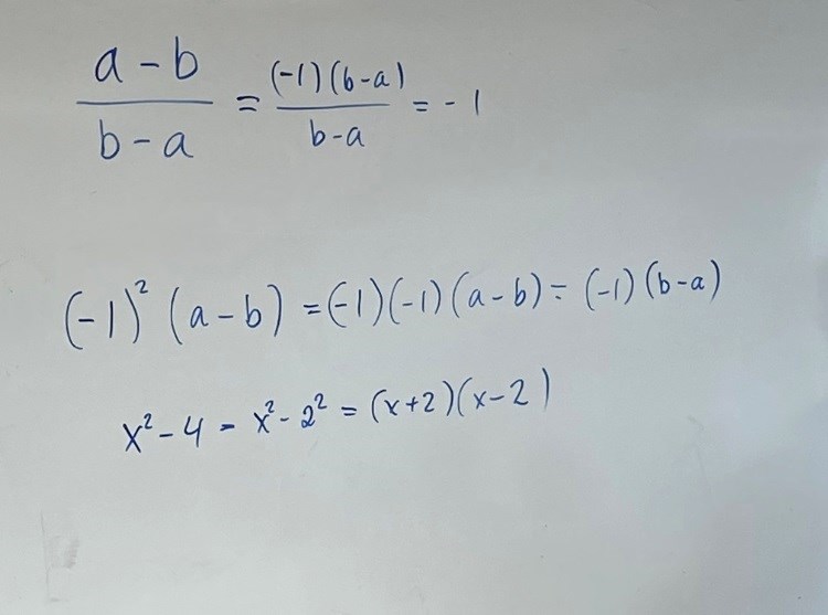
(-1) (-1) = 1

(1) (a-b)


Kan du beräkna vad (-1) (b-a) blir?

Ha en fin dag 3149
Postad: 22 aug 2023 15:09
naturnatur1 skrev:

(-1) (-1) = 1

(1) (a-b)


Kan du beräkna vad (-1) (b-a) blir?

Vad är det för skillnad på (-1) (-1) och -1*-1?

naturnatur1 3229
Postad: 22 aug 2023 15:16 Redigerad: 22 aug 2023 15:17
Ha en fin dag skrev:
naturnatur1 skrev:

(-1) (-1) = 1

(1) (a-b)


Kan du beräkna vad (-1) (b-a) blir?

Vad är det för skillnad på (-1) (-1) och -1*-1?

Det är samma sak. Båda multipliceras med -1 två gånger.

Det är även samma sak som (-1)2


Tillägg: 22 aug 2023 15:19

-(1)2 är dock en annan grej.


Men förstår du hur (-1) (-1) (a-b) = (-1) (b-a)? (:

Ha en fin dag 3149
Postad: 22 aug 2023 21:45
naturnatur1 skrev:
Ha en fin dag skrev:
naturnatur1 skrev:

(-1) (-1) = 1

(1) (a-b)


Kan du beräkna vad (-1) (b-a) blir?

Vad är det för skillnad på (-1) (-1) och -1*-1?

Det är samma sak. Båda multipliceras med -1 två gånger.

Det är även samma sak som (-1)2


Tillägg: 22 aug 2023 15:19

-(1)2 är dock en annan grej.


Men förstår du hur (-1) (-1) (a-b) = (-1) (b-a)? (:

Nej, det gör jag inte 

naturnatur1 3229
Postad: 22 aug 2023 23:08
Ha en fin dag skrev:

Nej, det gör jag inte 

(-1) (-1) är detsamma som  -1 × -1 som är lika med 1.

Det står (-1) (-1) (a-b)

som är samma sak som

(1) (a-b) = (a-b)


Återigen, vad blir (-1) (b-a)?

Tips

Multiplicera in -1 för varje term i den högra parantesen.

Ha en fin dag 3149
Postad: 23 aug 2023 19:17
naturnatur1 skrev:
Ha en fin dag skrev:

Nej, det gör jag inte 

(-1) (-1) är detsamma som  -1 × -1 som är lika med 1.

Det står (-1) (-1) (a-b)

som är samma sak som

(1) (a-b) = (a-b)


Återigen, vad blir (-1) (b-a)?

Tips

Multiplicera in -1 för varje term i den högra parantesen.

-b+a

naturnatur1 3229
Postad: 25 aug 2023 19:31
Ha en fin dag skrev:
naturnatur1 skrev:
Ha en fin dag skrev:

Nej, det gör jag inte 

(-1) (-1) är detsamma som  -1 × -1 som är lika med 1.

Det står (-1) (-1) (a-b)

som är samma sak som

(1) (a-b) = (a-b)


Återigen, vad blir (-1) (b-a)?

Tips

Multiplicera in -1 för varje term i den högra parantesen.

-b+a

Precis, alltså är det samma sak som a-b.

Är något fortfarande oklart? Hojta till isåfall så kan vi kolla på det.


Tillägg: 25 aug 2023 19:37

Ursäkta för sent svar. Såg detta nu.

Ha en fin dag 3149
Postad: 25 aug 2023 21:47 Redigerad: 25 aug 2023 22:04
naturnatur1 skrev:
Ha en fin dag skrev:
naturnatur1 skrev:
Ha en fin dag skrev:

Nej, det gör jag inte 

(-1) (-1) är detsamma som  -1 × -1 som är lika med 1.

Det står (-1) (-1) (a-b)

som är samma sak som

(1) (a-b) = (a-b)


Återigen, vad blir (-1) (b-a)?

Tips

Multiplicera in -1 för varje term i den högra parantesen.

-b+a

Precis, alltså är det samma sak som a-b.

Är något fortfarande oklart? Hojta till isåfall så kan vi kolla på det.


Tillägg: 25 aug 2023 19:37

Ursäkta för sent svar. Såg detta nu.

Jag förstår fortfarande inte vad -1 gör där? 

naturnatur1 3229
Postad: 25 aug 2023 22:46 Redigerad: 25 aug 2023 22:47

(-1) (-1) är detsamma som 1.

Det står (-1) (-1) (a-b) , vilket är samma som 

1 × (a-b) = (a-b)


Sedan står det (-1) (b-a)

När du multiplicerade in (-1) med (b-a) fick du fram (a-b)


Det du alltså gjorde var att multiplicera in (-1) för att vända värde på a och b, för att få h.l och v.l lika.

Ha en fin dag 3149
Postad: 25 aug 2023 22:51
naturnatur1 skrev:

(-1) (-1) är detsamma som 1.

Det står (-1) (-1) (a-b) , vilket är samma som 

1 × (a-b) = (a-b)


Sedan står det (-1) (b-a)

När du multiplicerade in (-1) med (b-a) fick du fram (a-b)



Det du alltså gjorde var att multiplicera in (-1) för att vända värde på a och b, för att få h.l och v.l lika.

Tack!!

Svara
Close