Algebra: Kommer ingenstans

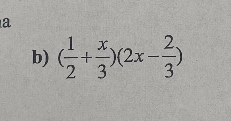
Jag vet inte mer än att jag ska multiplicera alla termer i första parantesen med alla termer i den andra, jag testar det men det blir helt fel. Hur skall jag gå till väga?
Du får gärna visa dina uträkningar. På det sättet så visar du material som du vet exakt hur som du har tänkt på och därmed förstår logiken och om vi då kan peka ut exakt var du gjort fel så vet du ungefär var logiken fallerade och kan därmed lära dig.
Såg dina anteckningar ut någonting sånt här? Jag har färglagt en parentes för att göra det extra tydligt.
Jag började såhär, jag antar att om detta är rätt så ska jag hitta MGN?![]()
Jag ser att du har gjort ett fel... och att jag har gjort ett fel.
Ditt fel: , ej
Mitt fel: , ej 1.
Att hitta minsta gemensamma nämnaren är ett vettigt nästa steg.
Okej, Hittade Minsta gemensamma nämnare men är osäker på nästa steg.
Finns det något du kan bryta ut ur termerna i täljaren?