Algebra med kvadratrot med kvadreringsmetoden
Hejsan kära med-medlemmar !
Var hälsad med-medlem.
Exakt hur är frågan formulerad? Det ser inte ut som det finns så mycket att göra med det där talet.
Stokastisk skrev :Var hälsad med-medlem.
Exakt hur är frågan formulerad? Det ser inte ut som det finns så mycket att göra med det där talet.
Den är förmedlad på det här viset under kapitlet kvadreringsmetoden: Beräkna med huvudräkning och så lyder talet. Inget mer med det. Är dock inte säker på att ifall man ska lösa detta med hjälp av kvadreringsmetoden, trots att det ligger inom det kapitlet.
Okej, om frågan är exakt så som du skrivit den här så finns det inget att räkna på. Eller ska du beräkna ett närmevärde till det?
Stokastisk skrev :Okej, om frågan är exakt så som du skrivit den här så finns det inget att räkna på. Eller ska du beräkna ett närmevärde till det?
Alltså det ska gå att räkna på för att enligt facit är svaret 18. Men som sagt jag kommer inte fram till det utan kommer fram till 9 som mitt inlägg lyder, därav är mitt problem som jag behöver hjälp med, haha.
Då har du skrivit uppgiften fel, tror du att du kan ta kort på den eller något?
För så det är inte i närheten av att att vara lika med 18.
Flowzor skrev :Stokastisk skrev :Okej, om frågan är exakt så som du skrivit den här så finns det inget att räkna på. Eller ska du beräkna ett närmevärde till det?
Alltså det ska gå att räkna på för att enligt facit är svaret 18. Men som sagt jag kommer inte fram till det utan kommer fram till 9 som mitt inlägg lyder, därav är mitt problem som jag behöver hjälp med, haha.
Då är det antingen fel i facit eller, troligare, är frågan felformulerad.
@Yngve och @Stokastisk, ni har faktiskt rätt jag har skrivit fel, minsann... Ber om ursäkt, men behöver fortfarande hjälp. Såhär ska det stå ! Sorry
Ja då gäller det ju egentligen bara att kvadraten tar ut kvadratroten så man får att
Flowzor skrev :@Yngve och @Stokastisk, ni har faktiskt rätt jag har skrivit fel, minsann... Ber om ursäkt, men behöver fortfarande hjälp. Såhär ska det stå ! Sorry
OK. Uttrycket kan då förenklas till , men det blir ändå inte lika med 18.
Hur kan facit ha fel? Man blir så himla förvirrad, för det är precis så det står och i facit är det lika med 18. Alltså detta är kvadreringsregeln. :(
Det kan stå fel i facit, men då borde inte uppgiften handla om huvudräkning.
Kan du ta en bild av själva uppgiftslydelsen och lägga upp här?
Uppgiften ska nog vara
Det är väl rätt uppenbart att uppgiften är felaktigt avskriven?
Under första rottecknet ska det bara stå en tvåa, eller hur? Alltså
( (Roten ur två) + (Roten ur åtta) ) i kvadrat
Stokastisk skrev :Uppgiften ska nog vara
Ja så är det såklart.
Då kan du beräkna uttryckets värde med hjälp av kvadreringsregeln
Yngve skrev :Stokastisk skrev :Uppgiften ska nog vara
Ja så är det såklart.
Då kan du beräkna uttryckets värde med hjälp av kvadreringsregeln
Det är ju precis så jag har skrivit. Ser det annorlunda ut hos er? ;o Jag har försökt lösa det med kvadreringsmetoden, men inte lyckats för jag får fram svaret 9, men svaret är 18.
Du skrev
( Roten ur (två + (Roten ur åtta) ) i kvadrat
EDIT Där blev det En högerparentes för lite. Stokastisk visar det tydligare nedan.
Yngve skrev :Det kan stå fel i facit, men då borde inte uppgiften handla om huvudräkning.
Kan du ta en bild av själva uppgiftslydelsen och lägga upp här?
Jag har ingen möjlighet att ta bild på talet :(
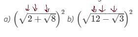
Såhär står det exakt:
"Beräkna med huvudräkning"
a) b)
Nu skriver du fel igen skulle jag tro, Kolla på det markera kvadratroten tecknet

Det går över hela uttrycket innanför parentesen. Men om man skriver så går det bara över den första tvåan.
Sättet att beräkna det är att använda att
Kan du fortsätta att förenkla det därifrån?