Algebra överföringsfunktion
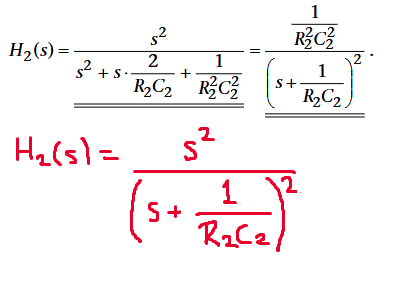
Jag vet att detta inte är en matteuppgift, men jag får inte till algebran när man ska uttrycka H2(s). Vi har ett uttryck för H1(s), och kan uttrycka H2(s) från H1(s) genom att göra några variabelbyten. Uttrycket för H1(s) är först i bild. Vi gör variabelbyten där R1=1/(sC2), R2=1/(sC1) vilket ger C1=1/(sR2) ( facit bild 2). Om vi nu kollar på facits uttryck av H2(s) så har de faktoriserat nämnaren men vad händer i täljaren? hur blir s2=1/(R2C2)2?




Jag är inte säker att jag vet vad du undrar över men detta understreckta är väl bara a2+2ab+b2 = (a+b)2 ?
Eller steget innan, att "förlänga bråket" med 1/R2C2 ?
Pieter Kuiper skrev:Jag är inte säker att jag vet vad du undrar över men detta understreckta är väl bara a2+2ab+b2 = (a+b)2 ?
Eller steget innan, att "förlänga bråket" med 1/R2C2 ?
Hur blir s2 i täljaren 1/(R2C2)2?

Cien skrev:
Det hade nog därmed att göra. För sådana substitutioner och för det ökända "a little algebra shows" är det nog enklast att kolla med Mathematica. Men det har jag inte direkt tillgängligt nu.

