1
svar
62
visningar
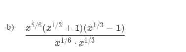
Algebra på A nivå del 2

Hej!
Hur långt har du kommit själv? Någon idé om hur man kan börja?
Annars ser det här ut som en övning i potenslagar. De behöver man kunna utantill hur som helst. Ta en titt: https://www.matteboken.se/lektioner/gymnasiet/matte-niva-1/aritmetik/potenser
Kika även på konjugatregeln.