Algebra, trianglar visa likformighet
Hej!
Klurar på följande fråga:
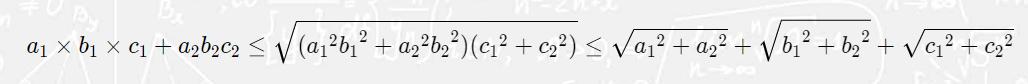
Ena triangeln har sidorna a1, b1, c1 och andra triangeln har sidorna a2, b2, c2. Följande ekvation gäller:
, visa likformighet.
Lyckades bevisa detta genom att anta att trianglarna var likformiga genom a1/a2=b1/b2 osv men det var tydligen otillåtet!
Försöker använda mig av Cauchy-Schwartz olikhet där:

Har dock fastnat och kommer inte riktigt vidare. Vet inte om jag överkomplicerar, men kan inte se något samband för att ta mig vidare.
Tack på förhand!
Att du inte fått något svar!
Jag har heller inget svar, men har prövat att leka lite med ekvationen.
Man kan låta indexen 1 och 2 byta plats.
Vi ser att den stämmer om trianglarna är likformiga.
Alla rotuttrycken blir då lika som rötter ur skalan (skalan gäller ju även för omkretsar).
Var det så du gjorde?
Men hur visa att om likhet gäller måste rotuttrycken vara lika?
Ekvationen kan också skrivas
a2ka + b2kb + c2kc = a2 + b2 + c2
Om detta uppfattas som en identitet blir ka = kb = kc = 1, vilket innebär likformighet,
men kan man göra det?