Algebraisk metod för att lösa en reell polynomekvation
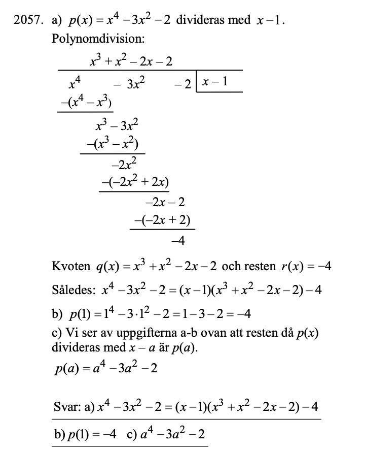
2057)
a) Dividera p(x) = x4-3x2-2 med x-1 och skriv på formen p(x) = (x-a)q(x) + r.
b) Bestäm p(1).
c) Bestäm resen om p(x) divideras med x-a.

Jag fattar inte hur de får att p(a) = a⁴-3x²-2 när p(x)/x-a = p(a).
Kan någon förklara detta?
p(a) = a4-3a2 -2 du skrev p(a) = a4-3x2-2 Du kanske bara skrev fel och menade 3a2
Du har att resten får du om du tar p(x) /(x-a) = p(a)
om a = 1 p(x)/ (x-1) = p(1) och p(1)= 14 -3*12 -2 = -4
Marie51 digital volontär skrev:p(a) = a4-3a2 -2 du skrev p(a) = a4-3x2-2 Du kanske bara skrev fel och menade 3a2
Du har att resten får du om du tar p(x) /(x-a) = p(a)
om a = 1 p(x)/ (x-1) = p(1) och p(1)= 14 -3*12 -2 = -4
Kan man då säga att -4 är en rot till polynomet p(x)? Vad är det vi får reda på om a = 1?
x = 1 är en rot till polynomet p(x) + 4 kan man säga om man vill.