Algebraisk metod? Hur gör man grafiskt?

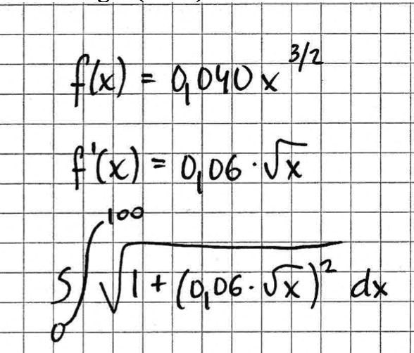
jag inser att man kan deriverar funktion och sedan sätta in den med fastnar med detta rotutryck hur löser jag denna grafiskt och algebraiskt om möjligt? 
"Grafiskt" med miniräknares integralberäknare (eller någon bra hemsida).
Algebraiskt: Ganska knepigt. Är nog mer envariabelanalys (universitet) nivå men se denna sidan för step by step om du vill https://www.symbolab.com/solver/step-by-step/%5Cint_%7B0%7D%5E%7B100%7D%5Csqrt%7B1%2B%5Cleft(0%2C06%5Csqrt%7Bx%7D%5Cright)%5E%7B2%7D%7Ddx
så man får bara slå det där på miniräknaren, känns lite fuskigt haha.
Gymnasiet är nice (eller kanske fuskigt som du säger? haha) av den anledningen :)
Det e bra träning att göra algebraiskt ibland men denna uppgift är rätt tydligt inte gjort för det