Algebraiska uttryck
Hej! Behöver lite hjälp med denna uppgift har löst den men är lite osäker kring reglerna för att lösa uppgiften.

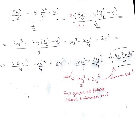
I sista delen av uppgiften när man väll löser den, varför skriver man 2*9y3 /4 +2y2 för att sedan nästan ”faktorisera” första delen av uppgiften. Svaret blir alltså 9y3 /2+2y2 men det borde väll ändå bli 18y3/4 +2y2 eller är det bara jag som tänker helt tokigt?
Tack på förhand för all hjälp!
Om man kan förkorta faktorn 2 så betraktas resultatet som enklare.
Du har rätt 9y3 /2+2y2 och 18y3/4 +2y2 , betyder samma sak. Jag hade föredragit ditt svar ändå då du svarar i bråktal.
Uttrycket är inte förenklat så långt som möjligt, vilket efterfrågas i uppgiften. Det går ju att förkorta 2:an i första termen, vilket Laguna påpekade i #2.
När det gäller självaste förenklingen så är det snarare en smaksak om man skriver hela uttrycket på samma bråkstreck eller inte. Om man dock gör det, så är inte heller förenklat så långt som möjligt då det går att förkorta den gemensamma faktorn .
Skriver man allt på samma bråkstreck, så är det fullt förenklade svaret.
(Hade uttrycket använts i vidare uträkning, så vore det tydligare att samma bråkstreck (inte?) föredrogs.)
Jag håller med om att det är en smaksak.
I mina ögon blir detta uttryck ännu "enklare" om man bryter ut faktorn så att resultatet blir alternativt alternativt