align, aligned* eller align*
Ugh.
Jag har testat alla tre varianter:
\begin{multicols}{2}
\begin{align*}
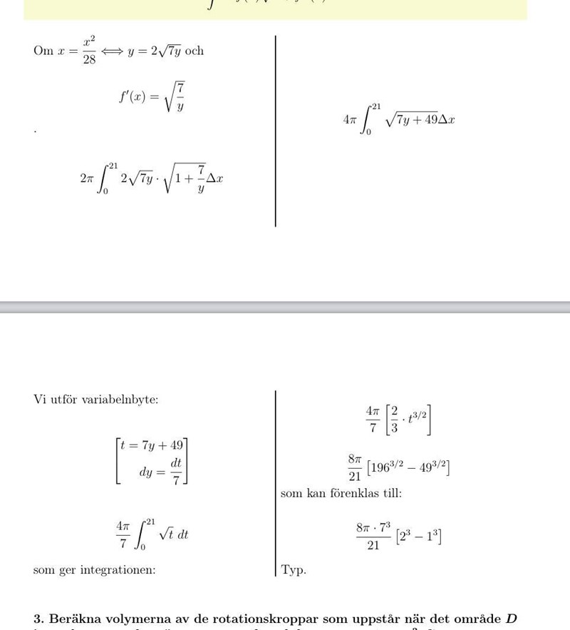
Om $x=\dfrac{x^2}{28} \Longleftrightarrow y=2 \sqrt{7y}$ och $f'(x)=\sqrt{\frac{7}{y}}$.
$\displaystyle 2 \pi \int_0^{21} 2\sqrt{7y} \cdot \sqrt{1+ \frac{7}{y}}\Delta x$\
\vspace{1.5}
$\displaystyle 4 \pi \int_0^{21} \sqrt{7y+ 49}\Delta x$ \
\end{align*}
\columnbreak
\begin{align*}
Vi utför variabelnbyte:
\[
\flushleft
\left[
\begin{aligned}
t=7y+ 49\
dy=\frac{dt}{7}
\end{aligned}
\right]
\]
$\displaystyle \dfrac{4\pi}{7} \int_0^{21} \sqrt{t} \ dt $
som ger integrationen:
$\displaystyle \dfrac{4\pi}{7} \left[\frac{2}{3}\cdot t^{3/2} \right]$
$\displaystyle \dfrac{8\pi}{21} \left[196^{3/2} - 49^{3/2}\right]$ som kan förenklas till:
$\displaystyle \dfrac{8\pi \cdot 7^3}{21} \left[2^3 - 1^3\right]$
Typ.
\end{align*}
\end{multicols}
Utskrift

Vill spy. 😫😫😫🤮🤢🤮🤢🤢🤮
Jag antar att du har problem med att få saker att vara ovanför varandra på rätt sätt. Då kan man använda sig av &-tecken för att bestämma vad som ska vara ovanför vad. &-tecknena kommer att vara osynliga, men de ser till så att stället du sätter ett &-tecken på i en rad kommer vara precis ovanför &-tecknet i nästa rad. Jämför
\begin{align*}
x+y=0 \\
x^2+y^2-x^3+3x+4=0
\end{align*}

med
\begin{align*}
&x+y=0 \\
x^2+y^2-&x^3+3x+4=0
\end{align*}

Oh förlåt.
Jag har inte specifierad.
Jag har problem med specifik:
\begin{multicols}{2}
\begin{align*}
blläbläblä
\end{align*}
\columnbreak
\begin{align*}
blläbläblä
\end{align*}
\end{multicols}
Jag vill att det ser ut såhär, ren och fin alignjerat.

Det ser väl inte så illa ut om du bara kör utan någon align över huvud taget?

Det ser inte såhär hos mig (därför aligner...) men jag provar igen :)
Edit: Hur gör du om du vill inte att meningarna slickar separationsgräns?
Jag försökt med column separator men dem är för nära fortfarande!
\setlength\columnsep{10pt}
dajamanté skrev:Det ser inte såhär hos mig (därför aligner...) men jag provar igen :)
Det enda jag ändrade var att ha dubbla dollartecken runt alla mattegrejer (då centreras alltihop automatiskt).
\begin{align} är bara till för olika typer av matematikuttryck (t.ex. variabelbyten med integraler). Det är inte till för att försöka centrera en hel sida med både text och matematikuttryck.
uuuuuuh jag kommer att kräckas.
Dubblade dollartecken och titta:

Kan du delge koden du använde? Det verkar bli en massa extra vertikala mellanrum..
Jepp.
Här kommer den:
\begin{multicols}{2}
Om $x=\dfrac{x^2}{28} \Longleftrightarrow y=2 \sqrt{7y}$ och $f'(x)=\sqrt{\frac{7}{y}}$.
$\displaystyle 2 \pi \int_0^{21} 2\sqrt{7y} \cdot \sqrt{1+ \frac{7}{y}}\Delta x$\\
$\displaystyle 4 \pi \int_0^{21} \sqrt{7y+ 49}\Delta x$ \\
\columnbreak
Vi utför variabelnbyte:
\[
\flushleft
\left[
\begin{aligned}
t=7y+ 49\\
dy=\frac{dt}{7}
\end{aligned}
\right]
\]
& $\displaystyle \dfrac{4\pi}{7} \int_0^{21} \sqrt{t} \ dt$
som ger integrationen:
& $\displaystyle \dfrac{4\pi}{7} \left[\frac{2}{3}\cdot t^{3/2} \right]$
& $\displaystyle \dfrac{8\pi}{21} \left[196^{3/2} - 49^{3/2}\right]$ som kan förenklas till:
& $\displaystyle \dfrac{8\pi \cdot 7^3}{21} \left[2^3 - 1^3\right]$
\textbf{Typ}.
\end{multicols}
Jag försökte lägga på & så att texten ta lite avstånd från vertikala barren, men den vill inte.
dajamanté skrev:Jepp.
Här kommer den:
\begin{multicols}{2}
Om $x=\dfrac{x^2}{28} \Longleftrightarrow y=2 \sqrt{7y}$ och $f'(x)=\sqrt{\frac{7}{y}}$.
$\displaystyle 2 \pi \int_0^{21} 2\sqrt{7y} \cdot \sqrt{1+ \frac{7}{y}}\Delta x$\\
$\displaystyle 4 \pi \int_0^{21} \sqrt{7y+ 49}\Delta x$ \\
\columnbreak
Vi utför variabelnbyte:
\[
\flushleft
\left[
\begin{aligned}
t=7y+ 49\\
dy=\frac{dt}{7}
\end{aligned}
\right]
\]& $\displaystyle \dfrac{4\pi}{7} \int_0^{21} \sqrt{t} \ dt$
som ger integrationen:& $\displaystyle \dfrac{4\pi}{7} \left[\frac{2}{3}\cdot t^{3/2} \right]$
& $\displaystyle \dfrac{8\pi}{21} \left[196^{3/2} - 49^{3/2}\right]$ som kan förenklas till:
& $\displaystyle \dfrac{8\pi \cdot 7^3}{21} \left[2^3 - 1^3\right]$
\textbf{Typ}.
\end{multicols}
Jag försökte lägga på & så att texten ta lite avstånd från vertikala barren, men den vill inte.
Dubbla dollartecken, daja! Du har bara ett dollartecken kring ekvationerna, vilket gör att allting blir fult och vänstercentrerat (jag tror också att det är det som orsakar allt extra vertikalt utrymme). Pröva detta:
Jag har dubblat och det blev ännu fulare (hos mig!). Jag provar vad du skickade.
Edit: tack, det blev snygg. Jag lägg på lite \hspaces och det ser tillräckligt tydligt nu!
Varför föredrar du hastebin?
Om jag postade det här på pluggakuten försöker den visa dubbla-dollartecknen som ekvationer (och då går det inte att kopiera).
Personligen tycker jag också att hastebin har en ganska snygg highlighting av koden.
AlvinB påminner:
Om jag postade det här på pluggakuten försöker den visa dubbla-dollartecknen som ekvationer (och då går det inte att kopiera).
Just det!
(Måste dumpa min c++ kod imorgon på PA, för synpunkter... :)