Alignierade ekvationer i Texmaker
Hej igen,
Hur gör ni för att få era ekvationer alienerad snyggt och prydlig till vänster?
Jag har testat \flushleft som inte fungerar i matte brackets \[... \]; och byt \usepackage{amsmath} mot \usepackage[fleqn]{amsmath}. De blir alienerad, men på en ful sätt.
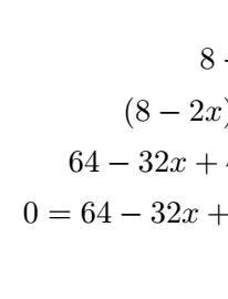
Såhär ser det ut :(:

Jag föredrar att använda align* till detta och använda & för att justera raderna så att det blir snyggt.
Om du visar (typ med ett handskrivet foto) hur du vill att det ska se ut så kan jag försöka göra ett förslag.
Tack på förhand!
Mina fulos ser ut såhär på vänster sida:

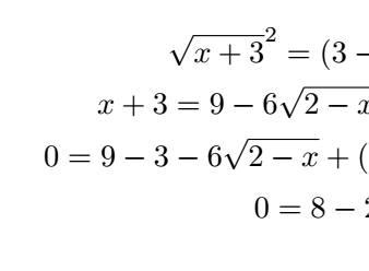
Jag vill att de ser ut såhär:

Min & inte fungerar. Jag kan försöka att kopiera din preambule istället, och testa & tecken igen.
Tack,
Jag löste problemet igenom att ändra till Sharelatex som rekommenderat av er.
Det gick jättebra.