Alla lösningar till differentialekvation y´(x)=y^2 (x)+4y(x)-5
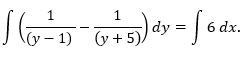
Jag ska bestämma alla lösningar till differentialekvationen
.
Inledningsvis har jag några frågor för att hitta rätt i kurslitteraturen:
- Är denna differentialekvation av första ordningen eller av andra ordningen? (Jag tror att den är av första ordningen eftersom vi har y prim och inte y bis...)
- Är den i en eller två variabler? (Antar att det är en eftersom vi har
- Av vilken typ är differentialekvationen? Homogen, linjär, ordinär, partiell eller separabel?
Första ordningen, då högsta grad av derivata är 1.
En oberoende variabel, så det blir väl egentligen två variabler. En definitionsfråga.
Inhomogen, ickelinjär, ordinär och separabel. Man skulle även kunna lägga till t.ex "autonom".
Tack så mycket Dr. G
Då har jag något att utgå från till att börja med.
Angående detta med en eller två variabler. Det är en oberoende variabel, y, eller hur?
Kommer jag att kunna lösa ut y, eller kommer y att förbli okänd?
Riccatis ekvation.
Angående detta med en eller två variabler. Det är en oberoende variabel, y, eller hur?
Kommer jag att kunna lösa ut y, eller kommer y att förbli okänd?
Nej, du söker en funktion y(x). Då är x oberoende variabel, och y(x) är beroende variabel.
Trinity2 skrev:Riccatis ekvation.
Ja, men ett fall som inte kräver några speciella trick.
Uppgiften "borde" vara benämnd så att den intresserade kunde se närmare på Riccati. Man kanske inte gör så idag i böckerna.
Smaragdalena skrev:Angående detta med en eller två variabler. Det är en oberoende variabel, y, eller hur?
Kommer jag att kunna lösa ut y, eller kommer y att förbli okänd?
Nej, du söker en funktion y(x). Då är x oberoende variabel, och y(x) är beroende variabel.
Ja, naturligtvis är y(x) den beroende variabeln och x är den oberoende variabeln.
Jag trasslade till det.
Intressant med Riccatis ekvation, det ska jag titta närmare på.
På kursen jag går skulle vi inte använda Riccatis ekvation utan i stället metoden separation av variabler har jag fått veta.
Separabel
Partialbråk i VL osv
Ja, går bra. Riccati är bara en utvidgning.


Ska jag multiplicera in 6 i nämnaren?
Hur gör jag nu för att komma vidare med likheten?
Jag har separerat variablerna.
Ska jag integrera båda leden nu?
Kan det vara en fördel att multiplicera in 6 i parenteserna i mina nämnare först?
HL = x + C efter integreringen (eller närmare bestämt så är det den primitiva funktionen av 1)
VL = ...
...
När jag fått y ensamt i VL kan jag undersöka värdet när x = 0, dvs y(0), men i denna uppgift har jag inte något begynnelsevillkor, utan jag ska presentera ALLA lösningar. Hur ska jag då gå tillväga? Hur menar den som formulerat problemet egentligen?
Jag skulle flytta över 6 till HL men uppgiften frågar ju inte efter en lösning, eller? Du har redan svar på frågorna. Antal variabler är oberoende variabler, dvs en.
Tack dioid!
Om jag multiplicerar varje faktor med 6 får jag därmed

Stämmer det?
Uppgiften är att bestämma alla lösningar till differentialekvationen Inte en lösning. Men i många exempel som jag tittat på så ska man lösa differentialekvationen för ett speciellt värde på x.
Hur menar du när du skriver att jag redan har svar på frågorna?
Jag har fått svar på mina frågor i tråden, ja! Men jag har ju fortfarande inte lyckats lösa uppgiften, så jag frågar vidare :-)
Jag menade alla frågor i tråden, men ja, det stämmer.
Nu gör jag integralberäkningen på
och får
Är det rätt? Och hur ska jag få veta vad ?
Verkat bra, sen andragradsekvation och falluppdelning. ln(a) - ln(b) = ln(a/b) och e^C brukar bli godtycklig konstant D, osv.
, det är jag med på!
Och falluppdelning beroende på om vad som finns innanför absolutbeloppstecknen, ja.
Men sedan förstod jag inte riktigt. Är det en andragradsekvation som jag ska beräkna?
Hur kommer e^C in i bilden? Kommer det att bli två godtyckliga konstanter i och med att vi har en andragradare?
Jag tänkte att det blir en andragradsekvation för att lösa ut y som funktion av x. Sen kommer e^C innan då du tar exp av bägge leden men med gängse flum (eller kolla noga) så blir e^C inte bara en positiv konstant utan godtycklig konstant (pos, neg eller noll). Jag har inte kollat detaljerna går bara på intuition.
Tack dioid
Hej!
Nu har jag tittat på inom vilka intervall, för vilka värden på y, som + C är en primitiv funktion.
Jag har fått fram att det gäller för
Verkar jag ha gjort rätt nedan? Och vad gör jag nu med denna vetskap?
Jag förstår att jag nu ska lösa ut y som en funktion av x, enligt dioid. Men hur?
Och sedan ska jag även "ta exp av bägge leden". Ska jag då sätta e som bas och höja upp den primitiva funktionen som jag fått fram? Jag blir osäker på hur jag ska göra. Blir HL då ?

Eller skulle jag lösa ut y först?
Jag behövde väl veta först för vilka y som uttrycket i VL är en primitiv funktion?
Jag har fått fram att det gäller för y < −5, 1 < y < 5 och y > 5
Hur tänker du om y = 5 ?
Affe Jkpg skrev:Jag har fått fram att det gäller för y < −5, 1 < y < 5 och y > 5
Hur tänker du om y = 5 ?
Tack! Jag blandade ihop det.
y kan inte vara 1 för då blir täljaren noll.
(Jag tänkte felaktigt att täljaren var |y-5|)
Så då är det ok att y=5. Jag gjorde även flera andra fel. Nu har jag rättat och det blev så här:

