1
svar
91
visningar
Allmän variablelsubstitution för dubbel integraler
Hej! Jag har försökt lösa den här uppgiften tre gånger nu och vad jag än gör får jag svaret -3. Facit säger -2. Hittar inte vad jag gör fel :(
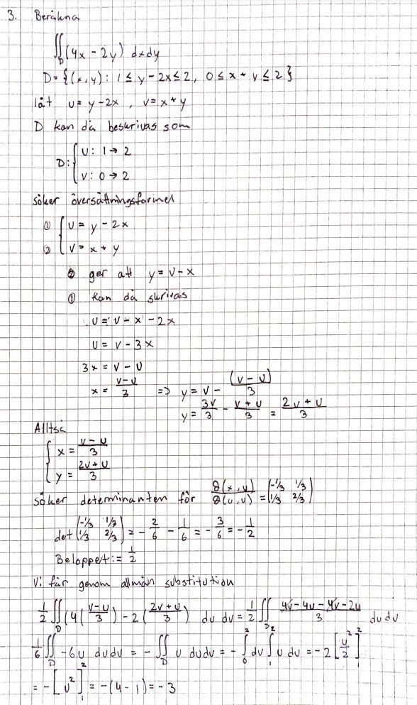
Uppgiften:

Mitt senaste lösningsförsök:

Din determinantberäkning är fel. Det blir -1/3 * 2/3 - 1/3 * 1/3 = -2/9 - 1/9.