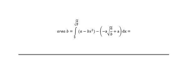
allmänna fallet y = a ̶ bx^2
Hej behöver hjälp meden uppgift som lyder följande:
· Rita upp kurvan y = 4 - x^2 ; x > 0 Rita sedan en linje mellan kurvans skärningspunkt
med y-axeln och dess skärningspunkt med x-axeln. Härvid uppkommer två st areor.
Beräkna förhållandet mellan dessa båda areor.
· Gör om detta på samma sätt, fast med kurvan y = 5 - x^2.
· Undersök vad resultatet blir för den allmänna kurvan y = a - x^2.
· Undersök vad som händer om du i stället har kurvan y = 4 - 2x^2, och därefter vad som
händer i det allmänna fallet y = a ̶ bx^2.
Det är sista raden jag behöver hjälp med.

Behöver hjälp att förenkla det sista sen ska nog kunna ordna det själv. Tack =)
fisk skrev:
Fantastiskt =)
Nu tog det stopp igen. 
Jag vet inte om uttrycken är rätt, men går att förenkla lite.