Allmänna frågor kring partialbråksuppdelning
Hej har lite allmänna frågor kring metoden som jag vill var helt säker på.🙂
en till fråga: handpåläggningsmetoden funkar endast på enkla termer.
vad menas med enkla termer? Termer med grad en?

Partialbråksuppdela gör man vanligen när man integrerar, eftersom det är ... hm ... ganska besvärligt att integrera komplicerade rationella uttryck, men man har standardmetoder för att integrera rationella uttryck där nämnaren är a högst grad 2.
Om du har ett förstagradspolynom (t ex x eller 2x-1) i nämnaren, så ansätter du ett nolltegradspolynom i täljaren, d v s en konstant.
Om du har ett andragradspolynom (t ex x2 eller x2+1) i nämnaren, så ansätter du ett förstagradspolynom i täljaren.
Om du har ett tredjegradspolynom, eller ett andragradspolynom som har reella nollställen, så fortsätter du att förenkla tills du har så enkla polynom i nämnaren att det inte går att dela upp mer.
Om du har 1-x4 i nämnaren, så kan du använda konjugatregeln och förvandla det till (1-x2)(1+x2) där du kan använda konjugatregeln en gång till så att du får (x+1)(x-1)(x+x2). Nej, du får bara en faktor /1-x). Kontrollera genom att multiplicera ihop dia parenteser!
- Enkla x-termer är förstagradspolynom bara med konstanttermer satta till 0.
x = x + 0
Så de får bara en kontant A och ingen x-term, precis såsom du ställt upp det.
- Vid partialbrålsuppdelning så faktoriserar man nämnaren så långt det går (utan att använda komplexa tal) innan man gör uppdelningen. Ja.
- I sista stycket skriver du en massa saker som inte är formella likheter såsom (!?) så jag förstår inte vad du är ute efter där.
Läs om handpåläggningsmetoden här. Om man har någon faktor upphöjd till 2 (eller mer) i nämnare, så kan man inte få fram alla koefficienter med hjälp av handpåläggningsmetoden.
Jag har fått lära mig att vid partialbråksuppdelning
så sätts en grad två på en av termerna.
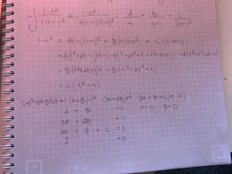
Så om denna ska partialbråks uppdelas 1/(x+2)^2
1/(x+2)^2 = 1/(x+2)(x+2)
1/(x+2)(x+2)^2=A/(x+2) + B/(x+2)^2
jag menar inte att (x+2)^2=(X+2)(x+2)^2
Det känns verkligen som att jag inte förstått hela bilden.
om jag gör som jag tror att jag ska göra så känns det verkligen som att det inte stämmer.

luna skrev:Jag har fått lära mig att vid partialbråksuppdelning
så sätts en grad två på en av termerna.
Så om denna ska partialbråks uppdelas 1/(x+2)^2
1/(x+2)^2 = 1/(x+2)(x+2)
1/(x+2)(x+2)^2=A/(x+2) + B/(x+2)^2
jag menar inte att (x+2)^2=(X+2)(x+2)^2
behöver inte partialbråksuppdelas (om det ens går), den kan man integrera direkt.
Laguna skrev:luna skrev:Jag har fått lära mig att vid partialbråksuppdelning
så sätts en grad två på en av termerna.
Så om denna ska partialbråks uppdelas 1/(x+2)^2
1/(x+2)^2 = 1/(x+2)(x+2)
1/(x+2)(x+2)^2=A/(x+2) + B/(x+2)^2
jag menar inte att (x+2)^2=(X+2)(x+2)^2
behöver inte partialbråksuppdelas (om det ens går), den kan man integrera direkt.
Tack Laguna
men jag tror du missförstår vad jag frågar efter 🙂
Det är inte just 1/(x+2)^2 jag frågar efter utan hur den allmänna lösnings metoden skulle se ut
luna skrev:Laguna skrev:luna skrev:Jag har fått lära mig att vid partialbråksuppdelning
så sätts en grad två på en av termerna.
Så om denna ska partialbråks uppdelas 1/(x+2)^2
1/(x+2)^2 = 1/(x+2)(x+2)
1/(x+2)(x+2)^2=A/(x+2) + B/(x+2)^2
jag menar inte att (x+2)^2=(X+2)(x+2)^2
behöver inte partialbråksuppdelas (om det ens går), den kan man integrera direkt.
Tack Laguna
men jag tror du missförstår vad jag frågar efter 🙂
Det är inte just 1/(x+2)^2 jag frågar efter utan hur den allmänna lösnings metoden skulle se ut
Skriv antingen en allmän formel då för sådana uttryck som du menar, eller ge ett realistiskt exempel.
Tidsfråga:
- Detta är det jag syftar på när jag frågar om detta gäller även gäller på konjugatregeln i den rosa frågan.

- Den Lila frågan fattar jag som att ni håller med om att en sådan nämnare skulle faktoriseras så som jag gjort. Har jag fattat det rätt?
- Handpåläggnings metoden:
Fatta jag som om nån faktor har grad 2 eller högre så kan den inte användas.
har jag fattat rätt?
är jag väldigt otydlig i mina frågor?
tipsa mig gärna om hur jag kan bli tydligare och mer lättförståelig 😍