1
svar
64
visningar
destiny99 behöver inte mer hjälp
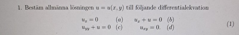
Allmänna lösning till PDE fysmatte

Hej!
Jag satt och löste uppgift 1c) och facit fick fram f(x)cosy+g(x)siny medan jag var inställd på det gamla sättet C1cosx+C2sinx. Varför skall svaret se ut som i facit?
Du kan nog tänka såhär: derivatorna är med avseende på y, därför ska cos/sin bero på y. I envariabeln får du konstanter C1 och C2, men det kommer ju ifrån att du bara har en variabel. Men i två variabler så blir det istället en funktion av x, eftersom om du deriverar f(x) med avseende på y är det som en konstant, i och med att den inte beror på y