Allmänt sätt att hitta alla gränsvärden
Jag undrar vilken metod är bäst för att undersöka om ett gränsvärde finns. När man undersöker ett gränsvärde måste man se till att gränsvärdet har samma värde oavsett hur man närmar sig punkten.


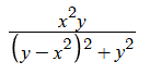
[lim, (x,y)-->(0,0)] Vissa gränsvärden som den i figuren ger olika resultat beroende på om man närmar sig från en rak linje eller om man närmar sig längst y = x^2. Om man närmar sig längst en rak linje närmar sig gränsvärdet alltid 0. Om man närmar sig längst y = x^2 närmar sig gränsvärdet 1. Min fråga är hur jag kan undersöka alla möjliga sätt att närma sig gränsvärdet? Jag har testat att närma sig gränsvärdet med hjälp av polära koordinater men vet inte om det kommer alltid att funka.
Det är sällan man frågar efter alla gränsvärden (om nu funktionen är sådan att den kan ha flera), utan mera ofta "finns ett gränsvärde?". Då får man försöka finna en motsägelse där man får 2 olika värden beroende på hur man närmare sig. Om det inte är fallet får man prova med y=kx eller polära koordinater för att som det hjälper.
För y=x^2 ovan är kvoten konstant 1 (minus origo) men, t.ex. =0 på koordinataxlarna, minus origo som ej är def.
Intressant fråga, tycker jag. Om man har f(x,y)/g(x,y), hur avgör man om det finns ett gränsvärde som är oberoende av vägen mot 0?
Nämnaren här var tillrättalagd så att det skulle vara enkelt att se att det fanns en väg som var speciell.