Analog elektronik
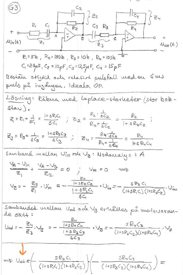
Har ett par frågor till lösningen nedan där det ska beräknas pulsfall och stigtid då en 5ms puls lägges på ingången.
1. Varför byter vi ut till . Är det av syfte att förenkla eller har det någon annan anledning?
2. Vid den första bilden markerad med en pil, ska det egentligen stå ?
3. Vid den sista bilden markerad med två pilar, varför multiplicerar vi med R3/R3 och R4/R4? ser inte hur det blir enklare. Vi får samma resistor i täljare och nämnare dock, är det av betydelse?


1/sC är Laplacetransformen av 1/jwC. I Laplace-domänen multiplicerar man i stället för att falta som i tidsdomänen.
jω-metoden är utmärkt för periodiska funktioner och då arbetar man i frekvensdomänen.
Med Laplace-metoden beräknar man i en komplex frekvensdomän, vilket passar bättre för transienta förlopp som stigtider.
Angående punkt 3 så är det nog bara för att få samma tidskonstanter i både täljare och nämnare. Ekvationens poler och nollställen påverkas inte.