Analog elektronik, Beräkna grenströmmarna med nodanalys. (L.Bergström 5.3)
Hej! Lite osäker på om jag har påbörjat "rätt" på följande uppgift:

Där jag har påbörjat enligt följande:

Undrar dels om jag har tolkat att "noden går ihop" samt om mina potentialer är rätt beräknade. Kollat på denna tråd (uppgiften före) och försökt förstå men lyckas inte helt...
Din figur stämmer så vitt jag kan se.
Men jag är lite osäker på vad dina ekvationer ska leda. Vi har fem obekanta så vi behöver ett ekvationssystem.
En ekvation kan vara: E1 -R1 * I1 -R2 * I2 = =
Ett sätt att börja är att fundera på om man inte kan minska ner de fem okända strömmarna till färre. Betraktar man kretsschemat lite så finner man att I2 och I4 kan uttryckas enligt följande:
Sedan behövs tre ekvationer.
Hej, ja kanske lite otydligt på tråden är jag på "detta steg"

Men helt ärligt har jag väldigt dålig koll tyvärr... Men gjorde detta utifrån Jan Ragnars kommentar:

I1 är tyvärr inte lika med E1/R1. Spänningen över R1 är inte E1.
Detsamma för I3, och I5.
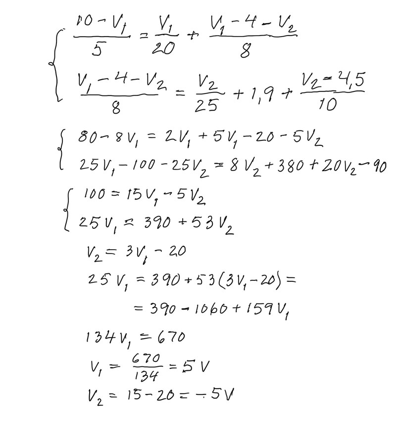
Humm, har lite svårt att "hitta" ekvationerna till vårt linjära ekvationssystem... Som ni säger så behöver vi 5 st, men vi har endast 3 noder (?) varav den ena är jord. Jag har i alla fall beräknat (vad jag tror är rätt) för de individuella strömmarna i alla fall:
Potentialen i de två noderna V1 och V2 beräknas genom de två strömekvationerna nedan. Därefter blir det enkelt att beräkna de fem strömmarna.

Aha! Ser däremot att vi har tolkat lite olika, hur kommer det sig att det är 10V-V1 och inte V1-10V Hur vet vi att V1 är mindre än 10V?
Värdet och riktningen på strömmen vet man ju inte förrän beräkningen är klar. I kretsschemat är I1 definierad så att den går mot noden V1 och då blir I1 = (E1 - V1)/R1.
Aha! Tack för hjälpen!
Hej igen! Känner att jag inte riktigt greppat det här om strömmens riktning. Om vi beräknar V1 till 15V så får man väl då:

Alltså att man "gissar" först riktningen sedan räknar man och får man att V1>10 så ändras riktningen? (och man behöver då räkna fram ett nytt V1?)
Man sätter upp ett ekvationssystem som kan lösa de obekanta vi har.
Men nodanalys sätter man strömriktningar och räknar utifrån dessa. Om en strömriktning är satt i fel riktning så ser man det på att den strömmen får ett negativt värde.
Jag förstår inte hur du löser detta:

Hur blir V1 = 15V? Du har ju två obekanta i ekvationen.
Ah, okej! Nu var jag nog lite otydlig V1=15V är något som jag bara har hittat på. Men då vet jag om jag har antagit fel riktning på KCL så bör jag få ett negativt värde.