2
svar
98
visningar
ChocolateTerrain behöver inte mer hjälp
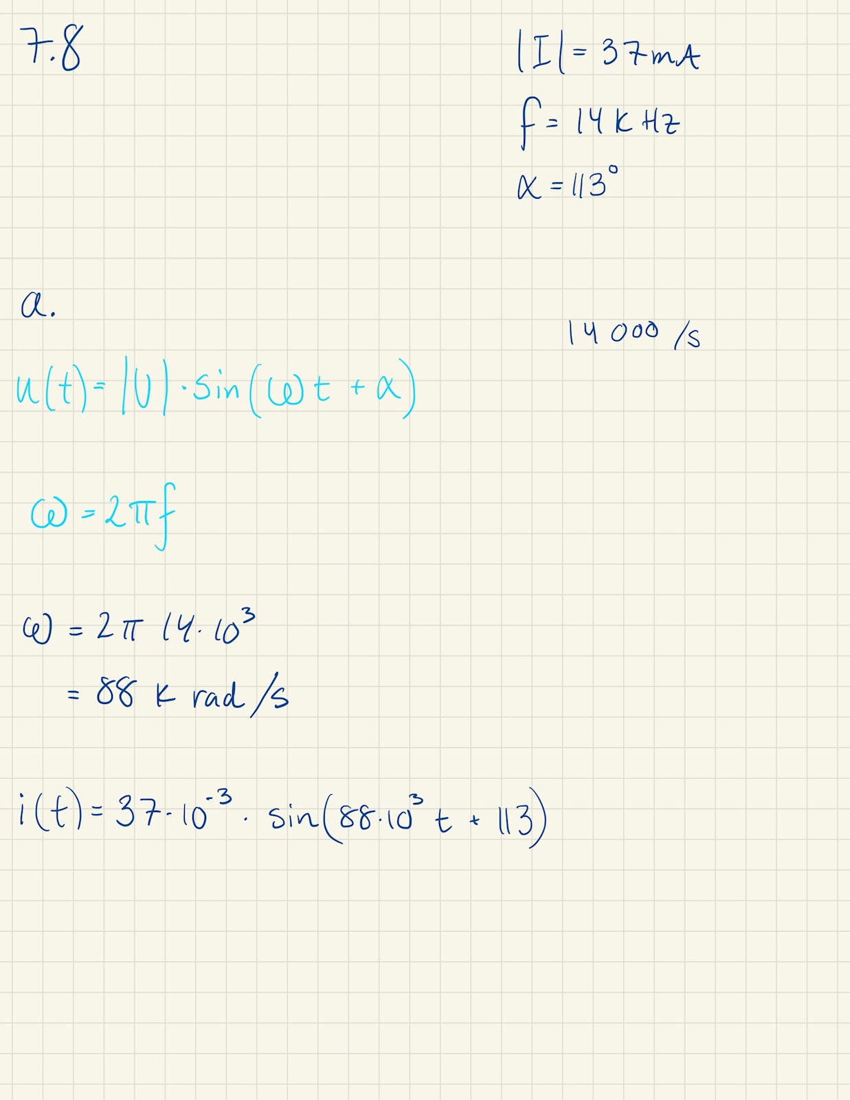
Analog elektronik, Rita strömvisarens läge. (L.Bergström 7.8)
Hej har lite problem med c-uppgiften:

Där jag har gjort följande:


Men mitt svar stämmer inte överens med facits svar
Jag har inte kollat alla dina uträkningar, men du blandar radianer och grader i ditt svar, se bild.

Jaaaaaa! Såklart, tack!! Du löste även en annan fråga som jag inte hade hunnit fråga om än, samma fel där!