Analog elektronik, Tidgraf för periodisk ström. (L.Bergström 6.2c)
Hej! Har lite problem med 6.2c:
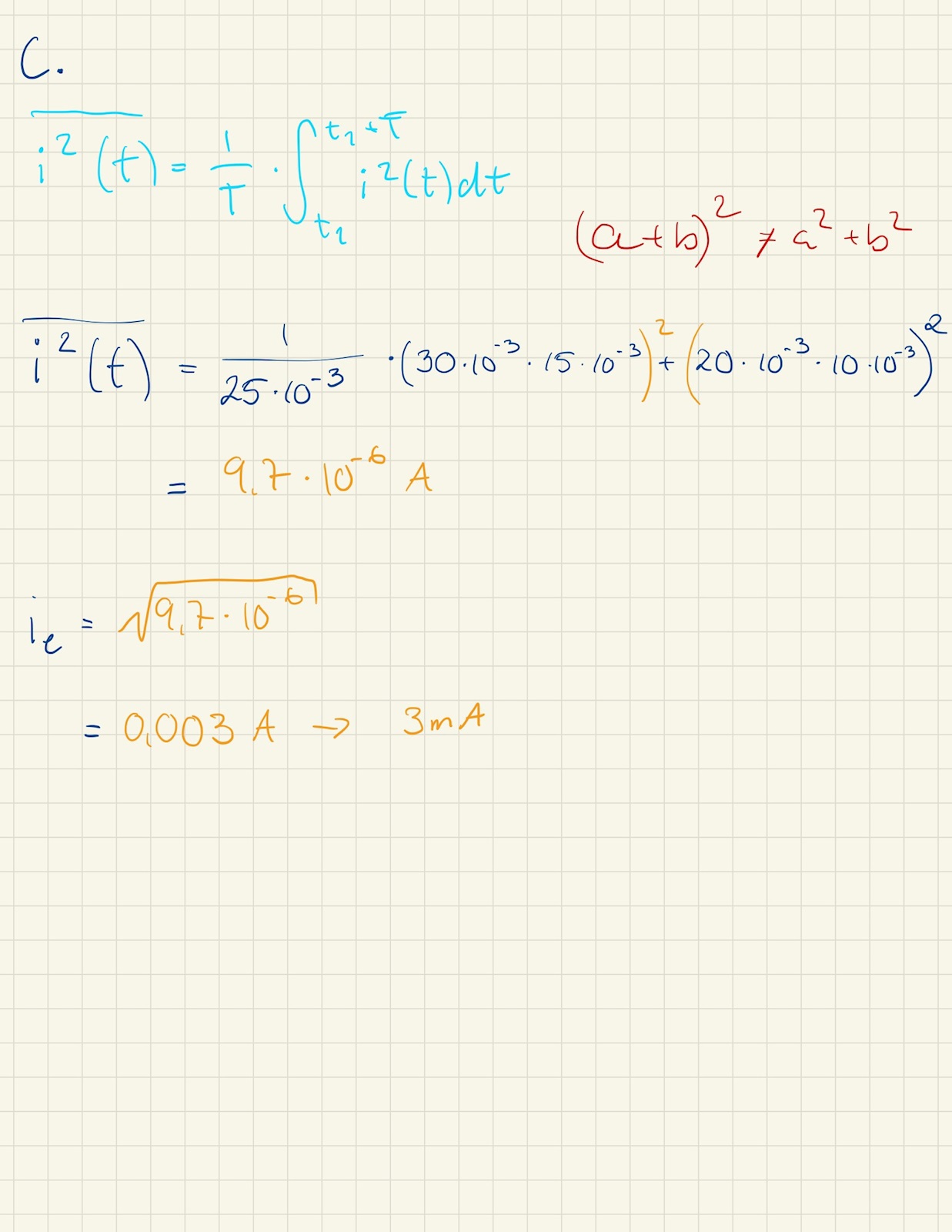
Där jag gjort följande:
Men lyckas inte att se vad jag har gjort för fel i min beräkning.
ChocolateTerrain skrev:
Men lyckas inte att se vad jag har gjort för fel i min beräkning.
Du kvadraterar tidsintervallen. Så stämmer det inte heller med enheterna.
Rita som funktion av tid, bestäm medelvärdet, ta roten.
Det är alltid bra att rita.
Hej, vet inte riktigt hur jag ska rita I2, har gjort följande på b-upp.g dock:

ChocolateTerrain skrev:Hej, vet inte riktigt hur jag ska rita I2
Du hade kunnat försöka.
Det är då 900 mA2 under 15 ms och 400 mA2 under 10 ms.
Visst, det har jag gjort också, här kommer vad jag har gjort:
Testade även:

Baserat på följande:


Där min fråga fortfarande kvarstår, eller är det något helt annat sätt man ska tänka på?
ChocolateTerrain skrev:Visst, det har jag gjort också, här kommer vad jag har gjort:
Testade även:
Baserat på följande:
Där min fråga fortfarande kvarstår, eller är det något helt annat sätt man ska tänka på?
"Det är då 900 mA2 under 15 ms och 400 mA2 under 10 ms."
Det ser alltså ut så här:
Du gör det för komplicerat. Det är inte svårare än det här. Bestäm ett medelvärde över tid (på samma sätt som du gjorde för den likriktade strömmen), ta roten.
Jaha!! Nu fick jag rätt på det! Tack :)

ChocolateTerrain skrev:Jaha!! Nu fick jag rätt på det! Tack :)
Härligt!
Och det stämmer med en grafisk metod:
Men lyckas inte att se vad jag har gjort för fel i min beräkning.