Analys 3 , Dubbelintegraler
Hejsan!
Hoppas ni mår bra!
Börjar med att säga jag har har failat på en tenta där dubbelintegral var min svagaste svar/sida därför vill jag ha typs och råd när det gäller att beräkna dubbelintegral dels med hur man ska börja tänka, ställa fram och räkna, finns det olika metoder för olika typer av dubbelintegral . Finns det något lättare sätt att tänka och räkna dem olika integraler. När det gäller integralerna så har jag inte något svårighet att beräkna dem men problemet är att få fram dem intervallerna för ibland får man exempelvis en svår funktion. Hur ska man tänka där. Försöker alltid rita men ibland blir det svårt.
Om det finns några bra sidor att läsa. Skriv gärna det.
Med vänliga hälsningar
Du kan ju visa en uppgift som du fick fel på.

svaret på den är 2(e^4-1) ? Hur? Jag ritar dem punkterna och blir som en "flygande drake" men hur ska jag veta intervallen på dem och hur ska jag beräkna det liksom?
Tack för hjälpen
Man kan hoppas att det blir bra om man inför en koordinattransformation, så att parallellogrammets sidor är parallella med var sin axel. Vilka linjer utgör sidorna?
Förlåt mig men jag hänger inte med riktigt vad du menar och hur man ska tänka.
Vilka är ekvationerna för de fyra linjer som begränsar parallellogrammet?
Vilken kurs?
Vissa tentor ger dem ekvationer för linjer men i denna uppgift gav dem ingen ekvation utan man kan lösa det på något annat sätt.
Kursen är TNA006
Jo alltså Laguna menar att du ska göra en variabeltransformation som gör att den flygande draken blir en rektangel med ett av hörnen i origo.
alexander19961 skrev:Vissa tentor ger dem ekvationer för linjer men i denna uppgift gav dem ingen ekvation utan man kan lösa det på något annat sätt.
Kursen är TNA006
Nej, men du kan göra det själv. Vilken är linjen som går genom (0,0) och (2,1)?
Y=KX+M menar ni då där k = y2-y1/x2-x1 osv
Då får jag en linje men sen då vad gör jag med det ?
Du transformerar så att du får nya variabler u och v, och sidorna på parallellogrammet blir u = nån konstant, u = nån annan konstant, v = osv.
Vad fick du för linje?
y=1/2x är ekvationen för (0,0) och (2,1) sen?
Ta fram de andra begränsningslinjerna också.
för (4,0) och (2,-1) får jag y=1/2x-2
Lägg upp en bild av området och uttrycken för de fyra linjerna.
Du ser ju att i integranden ingår uttrycken x + 2y och x - 2y. Man kan ju därför alltid testa vad som händer om man inför nya variabler enligt:
(u, v) = (x + 2y, x - 2y).
Tex får vi då
(x, y) = (0, 0) (u, v) = (0, 0)
(x, y) = (2, 1) (u, v) = (4, 0)
(x, y) = (4, 0) (u, v) = (4, 4)
(x, y) = (2, -1) (u, v) = (0, 4).

Här har jag räknat ut ekvationerna för dem olika :) Vad är det jag ska göra nu ?
Du vill att bara en variabel varierar längs varje linje, så sätt t.ex. u = y + x/2. Då kommer två av linjerna att bli u = 0 och u = 2. Gör samma sak med en ny variabel v och de två andra linjerna.
PATENTAMERAs förslag är också bra, det börjar i andra ändan och gör att det hela går lite fortare, för att det är en snäll uppgift.
PATENTERAMERA skrev:Du ser ju att i integranden ingår uttrycken x + 2y och x - 2y. Man kan ju därför alltid testa vad som händer om man inför nya variabler enligt:
(u, v) = (x + 2y, x - 2y).
Tex får vi då
(x, y) = (0, 0) (u, v) = (0, 0)
(x, y) = (2, 1) (u, v) = (4, 0)
(x, y) = (4, 0) (u, v) = (4, 4)
(x, y) = (2, -1) (u, v) = (0, 4).
Kom du vidare på denna?
Det variabelbyte som jag föreslog vekar forma om integrationsområdet D (draken) till en enkel kvadrat K där sidorna är parallella med axlarna och har längden 4. Övertyga dig om att det verkligen är så.
=
.
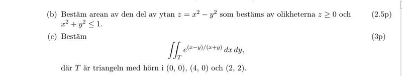
Här är två riktigt bra exempel till.
Uppgift c) bygger på samma princip som draken men kräver lite större förståelse, klarar du nu av att lösa den?
Uppgift b) ger dig en bra övning i att få fram intervall för ett område. Hur ser området ut i xy-planet? Vad blir gränserna?
