Analys av substanser
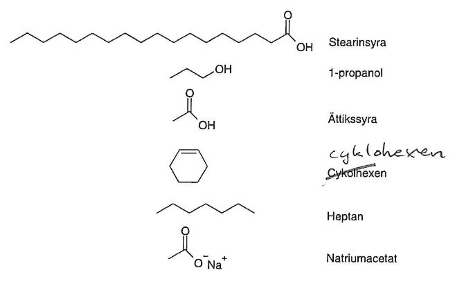
Jag ska göra en laboration där jag får 6 behållare med okänt innehåll och jag ska ta reda på vilken som är vilken. Innan labben ska jag planera en metod som jag ska använda. Jag har fått reda på vilka ämnen det är.
Hur kan man ta reda på vilken som är vilken? Jag fattar att man ska ta hänsyn till deras egenskaper men är inte helt säker på vilken metod som är lämplig. Ättiksyra har ju en speciell doft som man snabbt kan känna igen, skulle det fungera som en metod?
Tacksam för hjälp!
Jag tolkar det som om du endast kan använda en metod (kan du använda två eller tre blir det mycket enklare). Är ämnena rena skulle ditt förslag med att lukta på dem fungera, och genom uteslutning kan lista ut vilket ämne som är i vilken burk, men det förutsätter att du känner igen hur ämnena luktar. Men är t.ex. natriumacetatet löst i vatten, kommer det lukta lite som ättiksyra (syran kommer bildas p.g.a. jämvikten mellan basformen och syran).
Vilka kemiska metoder har ni gått igenom, d.v.s. vilka metoder kan du tänkas kunna använda?
Den ända metoden vi gjort tidigare är oxidation av alkoholer men det känns väldigt omständigt att välja den metoden. Skulle man kunna kolla på kok- och smältpunkter?
Ja kok- och smältpunkter är (också) en bra idé.
Vilka ämnen tror du är fasta vid rumstemperatur? Är några av dem i fast form vid rumstemperatur kan du utnyttja den informationen. Och sedan värma upp de ämnen som är flytande.
Hur skulle man kunna skilja på ättiksyra och 1-propanol om det inte funkar att lukta på dom?
Vilka är deras kokpunkter? Kan de antändas, brinner de lika bra?