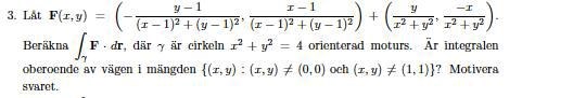
Analys, beräkna potentialfält. 1


Vill någon förklara för mig
1. Varför de sätter B(x-1,y-1) och hur kan -B(x,y) (dvs täljarna) till detta?
2. Varför är det minustecken framför -B(x,y) ?
3. Vad hjälper det här mig egentligen?
4. Och hur är det känt att (se det blåmarkerade) = ?
5. För om skillnaden mellan D och gammorna där Så varför beräknar man då då steget efter det blåmarkerade? Alltså jag tänker att eftersom de är lika, att man bara kan multiplicera med 2 då? Men istället så subtraherar dom ju i slutet.
--
Hoppas jag är tydlig.
Hej.
1 & 2: Notera att F1 är en funktion av x-1 och y-1. Kalla den funktionen B. När du skriver ner B ser du att F2 är -B.
3: Du har nu gjort problemet enklare, eftersom de två funktionerna F1 och F2 nu hänger ihop, och beskrivs av endast funktionen B.
4: Om du inte känner till det (vilket är rimligt, jag kände mig inte hller helt säker) så får du se vad det betyder, eller parametrisera som de föreslår. Längs en cirkel runt origo är , integralen blir integralen av från 0 till , alltså
5: Jag förstår dig inte alls. Man kan inte subtrahera gammorna från varandra, de är två olika kurvor. Det de visar är att resultatet är beroende av att vi integrerade just längs kurvan vi valde och inte längs någon annan kurva.
haraldfreij skrev:Hej.
1 & 2: Notera att F1 är en funktion av x-1 och y-1. Kalla den funktionen B. När du skriver ner B ser du att F2 är -B.
3: Du har nu gjort problemet enklare, eftersom de två funktionerna F1 och F2 nu hänger ihop, och beskrivs av endast funktionen B.
4: Om du inte känner till det (vilket är rimligt, jag kände mig inte hller helt säker) så får du se vad det betyder, eller parametrisera som de föreslår. Längs en cirkel runt origo är , integralen blir integralen av från 0 till , alltså
5: Jag förstår dig inte alls. Man kan inte subtrahera gammorna från varandra, de är två olika kurvor. Det de visar är att resultatet är beroende av att vi integrerade just längs kurvan vi valde och inte längs någon annan kurva.
2) men varför blir det negativ ?
Du vet att och att
,
så
Albiki skrev:Du vet att och att
,
så
Aha okej, så 'bara' därför=)