Analys i flera variabler - problem med att lösa en dubbelintegral med hjälp av polära koordinater
Hej!
Jag har fastnat på en uppgift där man ska lösa en dubbelintegral med hjälp av polära koordinater.
Frågan lyder:
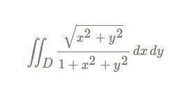
Beräkna dubbelintegralen:

Där D är den del av området som begränsas av 4 ≤ x^2 + y^2 ≤ 9 som ligger i sektorn som illustreras i

Här ligger den gröna strålen längs linjen −0.5*sqrt(2)*y + 0.5*sqrt(2)*x = 0 och den röda strålen längs linjen 0.5*y + 0.5*sqrt(3)*x = 0.
Det som jag har problem med är att få fram de två vinklarna, jag vet inte var i figuren jag ska ta fram dem eller hur jag ska gå tillväga till att ta fram dem. Tack på förhand.

De blå vinklarna kan du räkna ut från linjernas k-värden med lite trigonometri.
Vinklarna du vill ha ut är markerade med orange. De blir negativa eftersom de är dragna medurs från positiv x-axel.