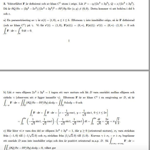
Analys, potentaialfunktion

Tyckte den där lösningsmetoden var lite krånglig. Kan man lösa den på det här sättet också?

Om du undrar ifall uppgiften går att lösa genom att införa ytterligare en kurva som tillsammans med bildar en sluten kurva och därefter använda Greens formel så är svaret ja. Det gäller dock att vara finurlig så att man får en lätt kurva som möjligt. Eller så kan man använda sig av det faktum att kurvintegraler i potentialfält alltid ger samma svar så länge start och slutpunkterna är samma i båda kurvor.
Däremot tycker jag att du skall lära dig den metod som facit visar. Det är en mycket bra genväg när man ska beräkna kurvintegraler genom konservativa fält (potentialfält).
AlvinB skrev:Om du undrar ifall uppgiften går att lösa genom att införa ytterligare en kurva som tillsammans med bildar en sluten kurva och därefter använda Greens formel så är svaret ja. Det gäller dock att vara finurlig så att man får en lätt kurva som möjligt. Eller så kan man använda sig av det faktum att kurvintegraler i potentialfält alltid ger samma svar så länge start och slutpunkterna är samma i båda kurvor.
Däremot tycker jag att du skall lära dig den metod som facit visar. Det är en mycket bra genväg när man ska beräkna kurvintegraler genom konservativa fält (potentialfält).
Okej jag förstår. Men vad står E och B här, och vad kommer 3E ifrån och 4B ifrån?
Jag gissar att och är två specifika potentialfält som gåtts igenom (man hänvisar till "läsanvisningarna till dag 7" vad det nu betyder). Det är nämligen så att:
Om man känner till detta på förhand är det ganska lätt att pussla ihop att genom att kolla på täljarna. Vi ser att vi har i -komponenten och i -komponenten. Det tyder på att vi har . Vi ser även att vi har i -komponenten och i -komponenten. Det ger att vi måste ha .
Därför kan vi skriva som en linjärkombination av och . Eftersom potentialfunktionerna till båda dessa är kända är det bara att slå ihop dem för att få en potentialfunktion till . När man väl har potentialfunktionen är det bara att använda det faktum att en kurvintegral i ett konservativt vektorfält kan beräknas som en skillnad av potentialfunktionens värden i start- och slutpunkten, likt med en envariabelintegral.
AlvinB skrev:Jag gissar att och är två specifika potentialfält som gåtts igenom (man hänvisar till "läsanvisningarna till dag 7" vad det nu betyder). Det är nämligen så att:
Om man känner till detta på förhand är det ganska lätt att pussla ihop att genom att kolla på täljarna. Vi ser att vi har i -komponenten och i -komponenten. Det tyder på att vi har . Vi ser även att vi har i -komponenten och i -komponenten. Det ger att vi måste ha .
Därför kan vi skriva som en linjärkombination av och . Eftersom potentialfunktionerna till båda dessa är kända är det bara att slå ihop dem för att få en potentialfunktion till . När man väl har potentialfunktionen är det bara att använda det faktum att en kurvintegral i ett konservativt vektorfält kan beräknas som en skillnad av potentialfunktionens värden i start- och slutpunkten, likt med en envariabelintegral.
1) I gradient beräkningen där, varför tar du inte med 3an och 4an i originalet?
2) Vill du visa hur du beräknat den där gradienten? (för det är ju skalärt, får inte ut det)
3) "genom att kolla på täljarna. Vi ser att vi har 3x i x -komponenten och 3y i y -komponenten" Men om det hade varit helt olika då? Hade det fungerat att sätta 4E lala. då?
1) Jag tror att det är tänkt att gradienterna jag skrev är förhandskunskap (det verkar som ni fått det något material om just dessa två funktioner). Det är ju ganska självklart att om vi multiplicerar uttrycket med en konstant kommer resultatet bara bli att vi får konstanten som koefficient i täljarna i gradienten i och med att för alla skalärer .
2) Utgå från definitionen av gradienten:
I fallet av får vi:
och
Man kan göra på liknande sätt med funktionen . Undrar du hur man beräknar de partiella derivatorna kan du få steg-för-steg-beräkningar på Symbolab:
3) Nej, koefficienterna måste vara samma ( och samt och ). Däremot skulle fältet inte vara konservativt () då, och därmed faller hela metoden ändå. Man kan nämligen visa att ett vektorfält på formen
är konservativt endast om och . Alltså kan man konstatera att det går att konstruera en potentialfunktion med hjälp av och för alla konservativa vektorfält på denna form.