Analys: summa av potenser går mot 1/(1-x)?
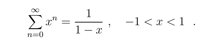
Hej, jag läser en inledande text till fourieranalys, de förklarar först lite vad det betyder att en serie funktioner konvergerar till en annan funktion. Såhär påstår de på ett ställe i texten:

Men... det stämmer inte alls. Funktionens värde mellan [-1,1] närmar sig noll, det vet vem som helst. (Eller asså jag vet hur x^999 ser ut, så det ser nog liknande ut. Jag har inte min miniräknare inom räckhåll här på sängen)
Det stämmer att xn går mot 0 då vi låter n gå mot oändligheten, om x:s absolutvärde understiger 1.
Men det vi räknar ut är en summa, ej en produkt, så alla värden dessförinnan bidrar till en summa skild från 0.
Om x t.ex. är 0,5:
Ja, jag plottade. Det var en dum fråga från början.
Men jag har då en annan fråga. Den här serien kan väl inte sägas vara en taylorserie? Måste en taylorserie stämma exakt överens på en punkt (där man anpassar)?
Qetsiyah skrev:Ja, jag plottade. Det var en dum fråga från början.
Men jag har då en annan fråga. Den här serien kan väl inte sägas vara en taylorserie? Måste en taylorserie stämma exakt överens på en punkt (där man anpassar)?
Taylorserien stämmer överens exakt med funktionen den utvecklar överallt i sitt konvergensintervall. Men jag förstår vad du försöker säga, det måste ju finnas en punkt kring vilken vi utvecklar, och det finns det ju också! är utvecklingspunkten! (dock måste vi vara lite välvilliga och låtsas att ...).
Detta är alltså en Taylorserie.
Jahaaa jag glömde ettan, jag adderade potenser manuellt till 22 och såg att den närmade sig, men var hela tiden lite... off (exakt 1 off haha)
Ok!