3
svar
129
visningar
3.14 behöver inte mer hjälp
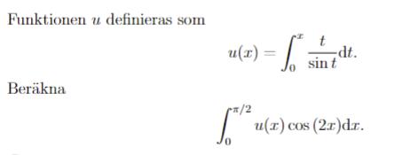
Analysens huvudsats och partialintegration

Jag försökte lösa detta genom partialintegration:
men hur räknar jag ut u(x)? Jag har försökt med partialintegration men kan inte lösa det
Vad blir sin(2x) för x = och för x = 0?
Det blir 0 så den här termen kommer bli 0 eller? 
Precis.