5 svar
152 visningar
sannakarlsson1337 behöver inte mer hjälp

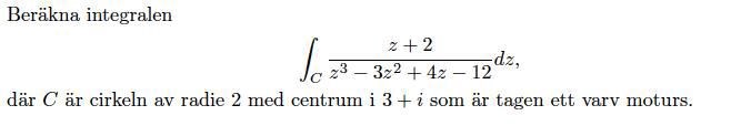
Analytisk funktion

jag räkna såhär:

men om jag ska substituera in z=3z=3 i ekvationen så får jag ju 0 i nämnaren, så något är konstigt där?

Smaragdalena 78892 – Avstängd
Postad: 2 jan 2021 13:26

Varför skulle du substituera in z = 3 i ekvationen?

Börja med att rita upp området C. Lägg upp bilden här.

sannakarlsson1337 590 – Fd. Medlem
Postad: 2 jan 2021 13:53 Redigerad: 2 jan 2021 13:57
Smaragdalena skrev:

Varför skulle du substituera in z = 3 i ekvationen?

Börja med att rita upp området C. Lägg upp bilden här.

för jag kallar ju den som jag visar för f(z) och jag ska ju stoppa in f(3) då som tex ett annat tal:

och rita upp behöver jag väl inte visa här, för jag har redan hittat att en punkt som ligger innanför cirkeln är 33

Men nu ser jag, att dom tar inte ens med den punkten för den, så nu löste jag det ^^

Laguna 32080
Postad: 2 jan 2021 14:00 Redigerad: 2 jan 2021 14:01

Jag kommer inte ihåg så mycket av det här, men integranden betraktas väl som f(x)x-3\frac{f(x) } {x-3} ?

Edit: jag menar z. 

sannakarlsson1337 590 – Fd. Medlem
Postad: 2 jan 2021 14:04 Redigerad: 2 jan 2021 14:06
Laguna skrev:

Jag kommer inte ihåg så mycket av det här, men integranden betraktas väl som f(x)x-3\frac{f(x) } {x-3} ?

Edit: jag menar z. 

det blir 

 

2πif(3)=3+2(3-2i)(3+2i)2πi=5132πi=1013πi2\pi i f(3) = \frac{3+2}{(3-2i)(3+2i)} 2\pi i = \frac{5}{13} 2\pi i = \frac{10}{13} \pi i .

 

(z-3)(z-3) i andra stegt i min uträkning ska inte var med där

R0BRT 70
Postad: 2 jan 2021 14:16

Skriv uttrycket som Cz+2(z-3)(z2+4)dz=Cf(z)(z-3)dz så kanske det blir enklare att hitta din funktion f(z).

Svara
Close