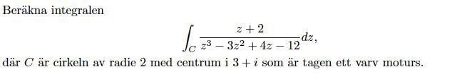
Analytisk funktion, får ut fel

jag gör:

det blir ju konstigt.
- vad gör jag för fel?
- om annars, hur ska man lösa denna uppg om inte med denna metod?
Vad är det som är konstigt?
Laguna skrev:Vad är det som är konstigt?
för sen när jag fortsätter räkna

och rätt svar ska bli 0??
EDIT: ska självklart stå
Jag tänkte börja kontrollräkna, men jag ser att du skriver att en rot är z = 3+2i, men du har (z+3-2i) i nämnaren, när det i så fall borde vara (z-3-2i).
Du kan inte definiera f(z) på det viset. Funktionen f(z) måste vara analytisk i hela det slutna området som definieras av din kurva C. Ett sätt att lösa integralen på är att partialbråksuppdela med komplexa faktorer och lösa de tre separata integralerna som borde komma från partialbråksuppdelningen.
R0BRT skrev:Du kan inte definiera f(z) på det viset. Funktionen f(z) måste vara analytisk i hela det slutna området som definieras av din kurva C. Ett sätt att lösa integralen på är att partialbråksuppdela med komplexa faktorer och lösa de tre separata integralerna som borde komma från partialbråksuppdelningen.


men i denna uppg så gör dom ju så? dvs faktoriserar inte?
men i denna uppg så gör dom ju så? dvs faktoriserar inte?
Det är för att funktionen f(z) som de använder i den uppgiften blir analytisk i hela det slutna området som definieras av kurvan C. Det blir inte f(z) i din ursprungliga uppgift.
Du kan lösa din ursprungliga uppgift genom residuesatsen. Om , , och är dina tre poler och alla är av ordning 1 så säger residuesatsen:
,
där det går att beräkna genom:
.
Motsvarande beräkning kan göras för samt . När jag beräknar integralen genom att summera dessa får jag svaret 0.
Ett alternativ till residuesatsen är att partialbråksuppdela med komplexa koefficienter och lösa de tre separat integralerna som kommer från uppdelningen.
R0BRT skrev:men i denna uppg så gör dom ju så? dvs faktoriserar inte?
Det är för att funktionen f(z) som de använder i den uppgiften blir analytisk i hela det slutna området som definieras av kurvan C. Det blir inte f(z) i din ursprungliga uppgift.
Du kan lösa din ursprungliga uppgift genom residuesatsen. Om , , och är dina tre poler och alla är av ordning 1 så säger residuesatsen:,
där det går att beräkna genom:
.
Motsvarande beräkning kan göras för samt . När jag beräknar integralen genom att summera dessa får jag svaret 0.
Ett alternativ till residuesatsen är att partialbråksuppdela med komplexa koefficienter och lösa de tre separat integralerna som kommer från uppdelningen.
Men var det inte så jag gjorde? Kan lägga uppp hela lösningen här nedan:


Såg du mitt svar?
Laguna skrev:Såg du mitt svar?
Åh nej, ursäkta.. Jag missade okej

det är ju rötterna ,som skrivs ju eller hur?
det är ju rötterna ,som skrivs ju eller hur?
Du skriver inte dessa rötter i uttrycket, du skriver +3 istället för -3.
När du beräknar så blir:
,
,
.
Kontrollera detta mot dina beräkningar.
R0BRT skrev:det är ju rötterna ,som skrivs ju eller hur?
Du skriver inte dessa rötter i uttrycket, du skriver +3 istället för -3.
När du beräknar så blir:
,
,
.Kontrollera detta mot dina beräkningar.
Precis, men det ovan stämmer - det jag skrev?
sannakarlsson1337 skrev:R0BRT skrev:det är ju rötterna ,som skrivs ju eller hur?
Du skriver inte dessa rötter i uttrycket, du skriver +3 istället för -3.
När du beräknar så blir:
,
,
.Kontrollera detta mot dina beräkningar.
Precis, men det ovan stämmer - det jag skrev?
Exakt vad menar du med "det ovan"? Det som är i citatet? Det stämmer, men det är inte det du har räknat med.
Smaragdalena skrev:sannakarlsson1337 skrev:R0BRT skrev:det är ju rötterna ,som skrivs ju eller hur?
Du skriver inte dessa rötter i uttrycket, du skriver +3 istället för -3.
När du beräknar så blir:
,
,
.Kontrollera detta mot dina beräkningar.
Precis, men det ovan stämmer - det jag skrev?
Exakt vad menar du med "det ovan"? Det som är i citatet? Det stämmer, men det är inte det du har räknat med.
Yes ovan := mitt (då) senaste inlägg ^^
perfekt då vet jag :D