Analytiska funktioner

1. i b-uppgiften tex vad hade hänt om det bara var två som ligger innanför . Vill bara dubbelkolla då hade vi bara lagt till två cirklar då? Så liksom lika många punkter som ligger innanför, motsvarar antal cirklar vi lägger till?
2. Om ingen punkt ligger innanför, hade vi kunde använda den här satsen då?
3. Hur kan man välja de radianer som gör så att de inte skär varandra? Finns det någon formel för det? Och varför får dom inte skära varandra? Hehe, vad blir konsekvenserna då?
1. De singulära punkter som ligger utanför kurvan struntar man i.
2. Då hade integralen blivit 0.
3. Radier, inte radianer. Man kan alltid välja en tillräckligt liten radie. Det är bara en teoretisk konstruktion. Som du märker så gör man aldrig något med de där cirklarna, man bara konstaterar att man kan placera ut dem, eftersom det ingår sådana cirklar i beviset för att integralen längs en kurva runt flera singulära punkter kan reduceras till summan av en integral per punkt. Man skär upp ytan så hela kurvan går både längs originalkurvan och alla cirklarna, och den konstruktionen förutsätter att cirklarna inte skär varandra. Det beviset måste du ha sett.
Laguna skrev:1. De singulära punkter som ligger utanför kurvan struntar man i.
2. Då hade integralen blivit 0.
3. Radier, inte radianer. Man kan alltid välja en tillräckligt liten radie. Det är bara en teoretisk konstruktion. Som du märker så gör man aldrig något med de där cirklarna, man bara konstaterar att man kan placera ut dem, eftersom det ingår sådana cirklar i beviset för att integralen längs en kurva runt flera singulära punkter kan reduceras till summan av en integral per punkt. Man skär upp ytan så hela kurvan går både längs originalkurvan och alla cirklarna, och den konstruktionen förutsätter att cirklarna inte skär varandra. Det beviset måste du ha sett.
Tack tack tack: Cauchys integralformel?

Men då använder man den där formeln men endast för dom punkterna där punkten är analytisk? Är det fler än 2, så får man använda delar upp nämnaren i fler än 2, olika bråk eftersom den har mer än 2 olika nollställen (och därmed kan nämnaren faktoriseras enligt faktorsatsen)?
Hittade detta:
Detta betyder att man inte kan använda Cauchys integralformel på dessa två integraler eftersom punkterna inte ligger inuti kurvan. Däremot är funktionerna analytiska på hela området som innesluts av kurvan, och därmed går det att tillämpa Cauchys integralsats (viktig skillnad på Cauchys integralformel och integralsats!)
Sedan så undrar jag, eftersom satsen sa
där de i uppgiften (postar den här nu igen)

där dom har gjort en liggande måsvinge, är det något motsvarande då?
För sedan säger ju beviset så fattar inte varför de skrivs $$2\pi i f_1 (1+2i)$$ där?
Sedan
Likaså dessa måsvningar, menar dom att (med hänvisning till beviset) är osv..
Laguna skrev:1. De singulära punkter som ligger utanför kurvan struntar man i.
2. Då hade integralen blivit 0.
3. Radier, inte radianer. Man kan alltid välja en tillräckligt liten radie. Det är bara en teoretisk konstruktion. Som du märker så gör man aldrig något med de där cirklarna, man bara konstaterar att man kan placera ut dem, eftersom det ingår sådana cirklar i beviset för att integralen längs en kurva runt flera singulära punkter kan reduceras till summan av en integral per punkt. Man skär upp ytan så hela kurvan går både längs originalkurvan och alla cirklarna, och den konstruktionen förutsätter att cirklarna inte skär varandra. Det beviset måste du ha sett.
& Laguna, varför får dom inte skära varandra. På vilket sätt "stökar" man till det?
Vad man gör i a) är att man konstaterar att enbart innesluter punkten . Således går det att använda Cauchys integralformel på:
med
(De kallar detta för )
och . Satsen ger då:
På b)-uppgiften gör man samma sak, men nu konstruerar vi egna kurvor sådana att enbart en av diskontinuiteterna innesluts. Då kan vi införa en ny funktion som är analytisk på alla punkter inuti (enbart -diskontinuiteten innesluts av ) och använda samma metod som i a).
Eftersom man i b)-uppgiften gör på samma sätt med flera olika kurvor kallar man den första funktionen man använder i a) (markerad med måsvingen) för för att särskilja de olika funktionerna.
En annan metod för att lösa en sådan här integral är att partialbråksuppdela så att vi får flera småintegraler med överallt analytiska täljare och linjära nämnare som vi var och en kan applicera antingen Cauchys integralformel eller Cauchys integralsats (beroende på om diskontinuiteten innesluts av kurvan eller ej). Det gjorde vi med en liknande uppgift i denna tråd som du redan verkar ha hittat:
mrlill_ludde skrev:Laguna skrev:1. De singulära punkter som ligger utanför kurvan struntar man i.
2. Då hade integralen blivit 0.
3. Radier, inte radianer. Man kan alltid välja en tillräckligt liten radie. Det är bara en teoretisk konstruktion. Som du märker så gör man aldrig något med de där cirklarna, man bara konstaterar att man kan placera ut dem, eftersom det ingår sådana cirklar i beviset för att integralen längs en kurva runt flera singulära punkter kan reduceras till summan av en integral per punkt. Man skär upp ytan så hela kurvan går både längs originalkurvan och alla cirklarna, och den konstruktionen förutsätter att cirklarna inte skär varandra. Det beviset måste du ha sett.
& Laguna, varför får dom inte skära varandra. På vilket sätt "stökar" man till det?
Prova!
AlvinB skrev:Vad man gör i a) är att man konstaterar att enbart innesluter punkten . Således går det att använda Cauchys integralformel på:
med
(De kallar detta för )
och . Satsen ger då:
På b)-uppgiften gör man samma sak, men nu konstruerar vi egna kurvor sådana att enbart en av diskontinuiteterna innesluts. Då kan vi införa en ny funktion som är analytisk på alla punkter inuti (enbart -diskontinuiteten innesluts av ) och använda samma metod som i a).
Eftersom man i b)-uppgiften gör på samma sätt med flera olika kurvor kallar man den första funktionen man använder i a) (markerad med måsvingen) för för att särskilja de olika funktionerna.
En annan metod för att lösa en sådan här integral är att partialbråksuppdela så att vi får flera småintegraler med överallt analytiska täljare och linjära nämnare som vi var och en kan applicera antingen Cauchys integralformel eller Cauchys integralsats (beroende på om diskontinuiteten innesluts av kurvan eller ej). Det gjorde vi med en liknande uppgift i denna tråd som du redan verkar ha hittat:
Okej. Men har lite svårt och koppla (?) samman
tillsammans med satsen som säger
För om jag skulle göra som satsen säger. Så skulle de trju bli:
Alltså inte i VL.. Och så är okänd då?
Laguna skrev:mrlill_ludde skrev:Laguna skrev:1. De singulära punkter som ligger utanför kurvan struntar man i.
2. Då hade integralen blivit 0.
3. Radier, inte radianer. Man kan alltid välja en tillräckligt liten radie. Det är bara en teoretisk konstruktion. Som du märker så gör man aldrig något med de där cirklarna, man bara konstaterar att man kan placera ut dem, eftersom det ingår sådana cirklar i beviset för att integralen längs en kurva runt flera singulära punkter kan reduceras till summan av en integral per punkt. Man skär upp ytan så hela kurvan går både längs originalkurvan och alla cirklarna, och den konstruktionen förutsätter att cirklarna inte skär varandra. Det beviset måste du ha sett.
& Laguna, varför får dom inte skära varandra. På vilket sätt "stökar" man till det?
Prova!
Ehm... de hamnar typ i samma integral?Och då kanske det blir konstigt med de ställen där integralerna inte längre är analytisk? (för dessa två nollställen (eller hur man ska kalla dom) klungas ihop.) haha jösses. Har ingen aning ^^
mrlill_ludde skrev:AlvinB skrev:[...]
Okej. Men har lite svårt och koppla (?) samman
tillsammans med satsen som säger
För om jag skulle göra som satsen säger. Så skulle de trju bli:
Alltså inte i VL.. Och så är okänd då?
Vänsterledet är i Cauchys integralformel. Jag vet inte varför du får för dig att det ska stå . Kolla exempelvis på Wikipedia:

AlvinB skrev:mrlill_ludde skrev:AlvinB skrev:[...]
Okej. Men har lite svårt och koppla (?) samman
tillsammans med satsen som säger
För om jag skulle göra som satsen säger. Så skulle de trju bli:
Alltså inte i VL.. Och så är okänd då?
Vänsterledet är i Cauchys integralformel. Jag vet inte varför du får för dig att det ska stå . Kolla exempelvis på Wikipedia:
Nej men nej, trodde det skulle vara
mrlill_ludde skrev:[...]Nej men nej, trodde det skulle vara
Jo, men det är faktiskt i formelns vänsterled. Blir det hela mer begripligt då?
AlvinB skrev:mrlill_ludde skrev:[...]Nej men nej, trodde det skulle vara
Jo, men det är faktiskt i formelns vänsterled. Blir det hela mer begripligt då?
Ja :) det blir det. Hehe ska läsa igenom hela detta i lugn och ro. Återkommer om jag stöter på andra oklarheter. =)
Hej!
Jag har läst era inlägg i tråden och tänkte lämna mitt bidrag, om det kan vara till nytta.
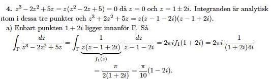
Uppgift 4a. Polynomet kan faktoriseras som där . Bland de tre komplexa talen , och är det talet som omsluts av kurvan och behöver tas hänsyn till när integralen ska beräknas.
Integranden skrivs därför som där funktionen är analytisk över området som omsluts av
Integralen som ska beräknas kan därför skrivas och enligt Cauchys integralformel är den lika med det komplexa talet .
Uppgift 4b. Kurvan omsluter samtliga tre punkter , och , vilket betyder att Cauchys integralformel inte längre kan användas. Istället får man använda Residysatsen för att beräkna integralen.
Varje singulär punkt , och är en enkelpol till funktionen , vilket betyder att residyerna kan beräknas på följande sätt.
Adderas de tre residyerna får man det komplexa talet
så den sökta integralen blir noll.