4 svar
101 visningar
destiny99 behöver inte mer hjälp
destiny99 11384
Postad: 13 sep 2025 12:36 Redigerad: 13 sep 2025 12:38

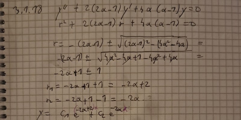
Andra ordningen ODE och bestämma alfa

Jag förstår att man vill hitta alfa då t=>inf , men jag vet inte hur man ska resonera där. Vi kan ju se att termen med C2 faller bort pga hela uttrycket med 1/e^2alfax går mot 0

PATENTERAMERA 7822
Postad: 13 sep 2025 12:51 Redigerad: 13 sep 2025 12:51

eat går mot noll då t går mot oändlighet omm a < 0.

Så om du gjort rätt så gäller det att hitta alfa så att

-2alfa + 2 < 0 och -2alfa < 0.

destiny99 11384
Postad: 13 sep 2025 15:55
PATENTERAMERA skrev:

eat går mot noll då t går mot oändlighet omm a < 0.

Så om du gjort rätt så gäller det att hitta alfa så att

-2alfa + 2 < 0 och -2alfa < 0.

Hm men varför ska -2alfa+2<0?

LuMa07 Online 610
Postad: 13 sep 2025 16:29 Redigerad: 13 sep 2025 16:30
destiny99 skrev:

Hm men varför ska -2alfa+2<0?

Som PATENTERAMERA skrivit på första raden så gäller att ert0e^{rt} \to 0tt\to \infty om och endast om r<0r<0. Använd denna egenskap på den funna allmänna lösningen.

Du har ju tagit fram att y=c1e(-2α+2)t+c2e-2αty = c_1 e^{(-2\alpha + 2)t} + c_2 e^{-2\alpha t}.

Om lösningen skall gå mot noll, så måste exponenterna i båda exponentialfunktionerna ha negativ koefficient. Den ena exponentialfunktionen har r1=-2α+2r_1 = -2\alpha + 2 i exponenten och den andra har r2=-2αr_2 = -2\alpha. Både r1<0r_1 < 0 och r2<0r_2 < 0 måste vara uppfyllt om du vill att y=c1er1t+c2er2t0y = c_1 e^{r_1t} + c_2 e^{r_2t} \to 0tt\to \infty

destiny99 11384
Postad: 13 sep 2025 17:16
LuMa07 skrev:
destiny99 skrev:

Hm men varför ska -2alfa+2<0?

Som PATENTERAMERA skrivit på första raden så gäller att ert0e^{rt} \to 0tt\to \infty om och endast om r<0r<0. Använd denna egenskap på den funna allmänna lösningen.

Du har ju tagit fram att y=c1e(-2α+2)t+c2e-2αty = c_1 e^{(-2\alpha + 2)t} + c_2 e^{-2\alpha t}.

Om lösningen skall gå mot noll, så måste exponenterna i båda exponentialfunktionerna ha negativ koefficient. Den ena exponentialfunktionen har r1=-2α+2r_1 = -2\alpha + 2 i exponenten och den andra har r2=-2αr_2 = -2\alpha. Både r1<0r_1 < 0 och r2<0r_2 < 0 måste vara uppfyllt om du vill att y=c1er1t+c2er2t0y = c_1 e^{r_1t} + c_2 e^{r_2t} \to 0tt\to \infty

Jaha ok. Bra förklarat! Då förstår jag. 

Svara
Close